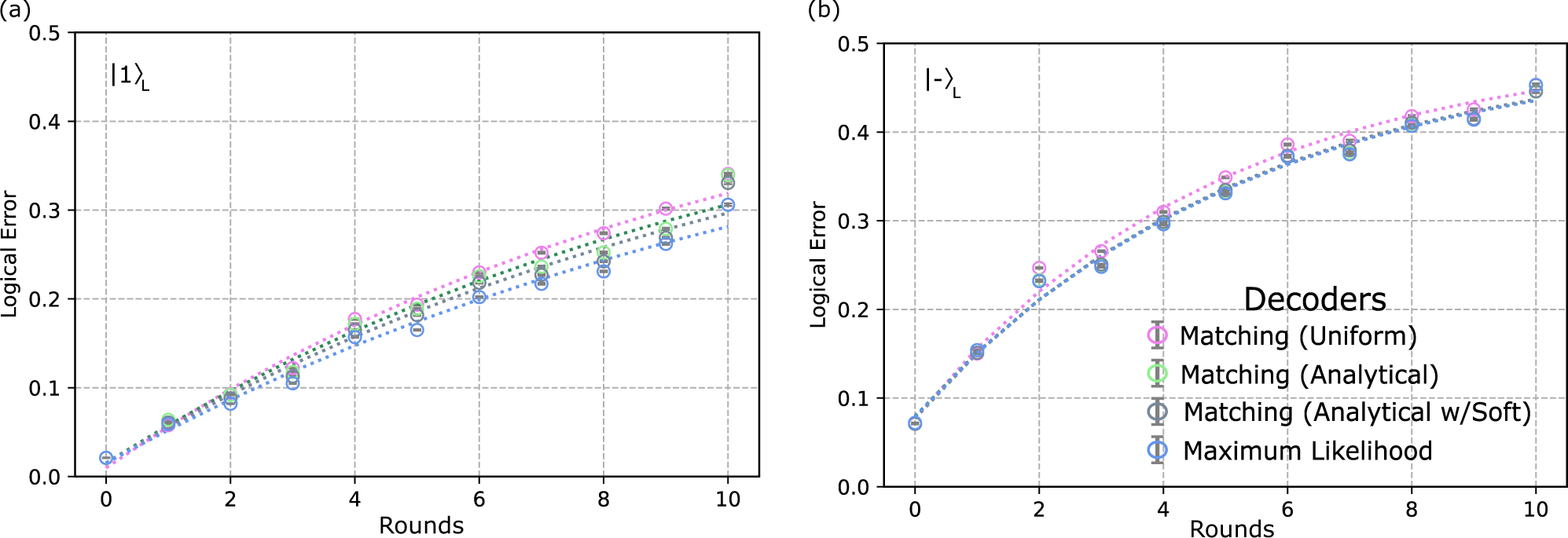
Fig. 6: Logical error for \({\left|1\right\rangle }_{L}\) and \({\left|\!+\!\right\rangle }_{L}\) Comparison of logical error vs.

round number for \({\left|1\right\rangle }_{L}\) and \({\left|-\right\rangle }_{L}\) states (\({\left|0\right\rangle }_{L}\) and \({\left|\!+\!\right\rangle }_{L}\) in Fig. 2c, d) using four different decoding methods: matching uniform (pink), matching analytical (green), matching analytical with soft-decoding (gray), and maximum likelihood (blue). All decoders here are using leakage post-selected experimental data. Logical error per round extracted fits are shown in Fig. 2e, f.