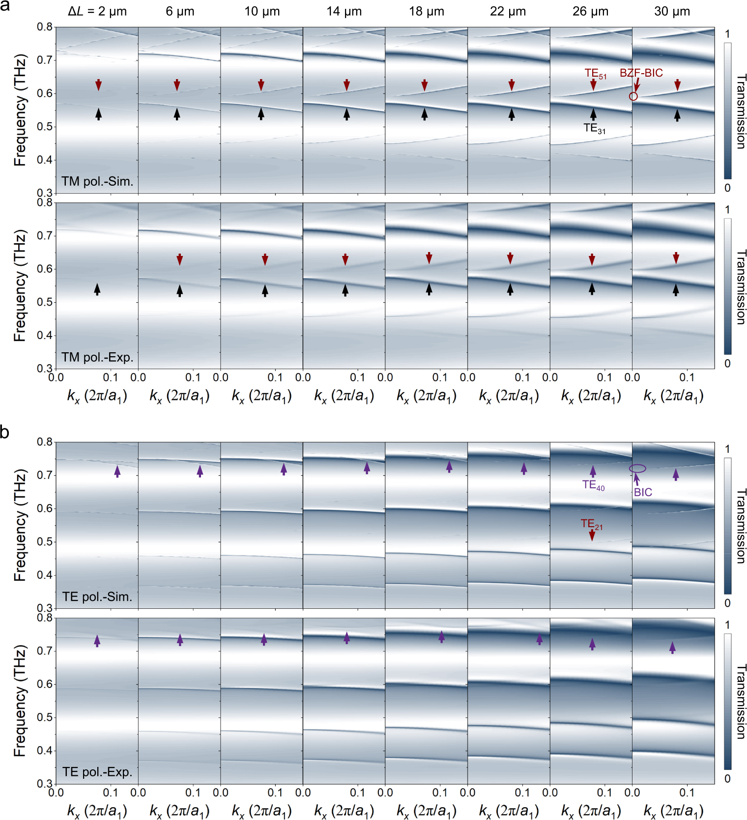
Fig. 5: Tunable evolution feature of BZF-BIC’s radiation loss in the momentum space.
From: Brillouin zone folding driven bound states in the continuum

Simulated (upper panel) and measured (lower panel) angle-resolved transmission spectra of THz-PhCs for ΔL = 2, 6, 10, 14, 18, 22, 26, and 30 μm under (a) TM and (b) TE polarizations.