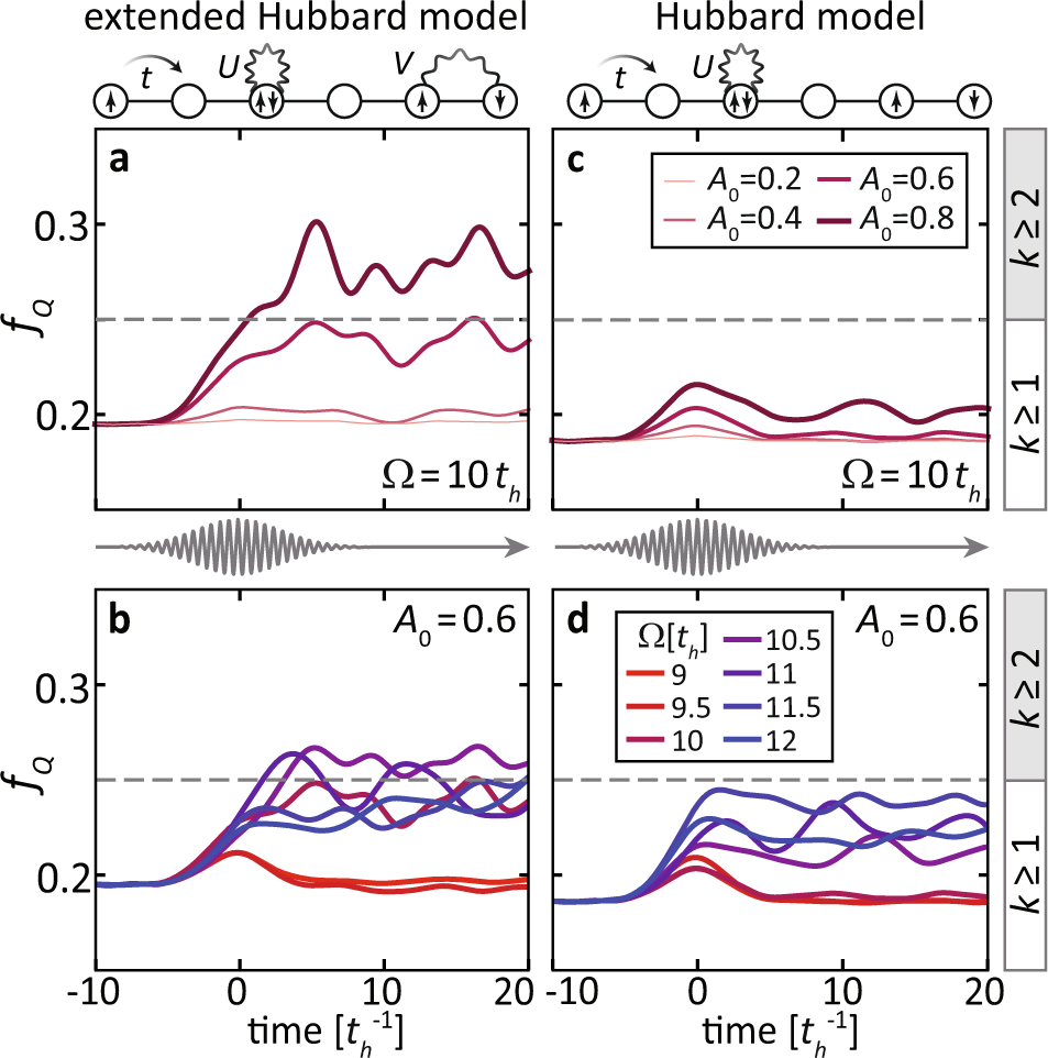
Fig. 6: Light-manipulation of the quantum Fisher information (QFI) for various pump conditions and models.
From: Witnessing light-driven entanglement using time-resolved resonant inelastic X-ray scattering

a, b The transient QFI density fQ in a light-driven EHM [i.e., Eq. (11) with V = − th] for selected a pump amplitudes at fixed energy Ω = 10th and b pump energies at fixed amplitude A0 = 0.6. c, d Same as a, b but for a Hubbard model without nonlocal interactions [i.e., V = − th]. The bar to the right denotes the range and boundary for multiparticle entanglement with a k-producible state. The upper insets are cartoons of the Hamiltonian terms contained in each model, while the middle insets show the time evolution of the pump vector potential.