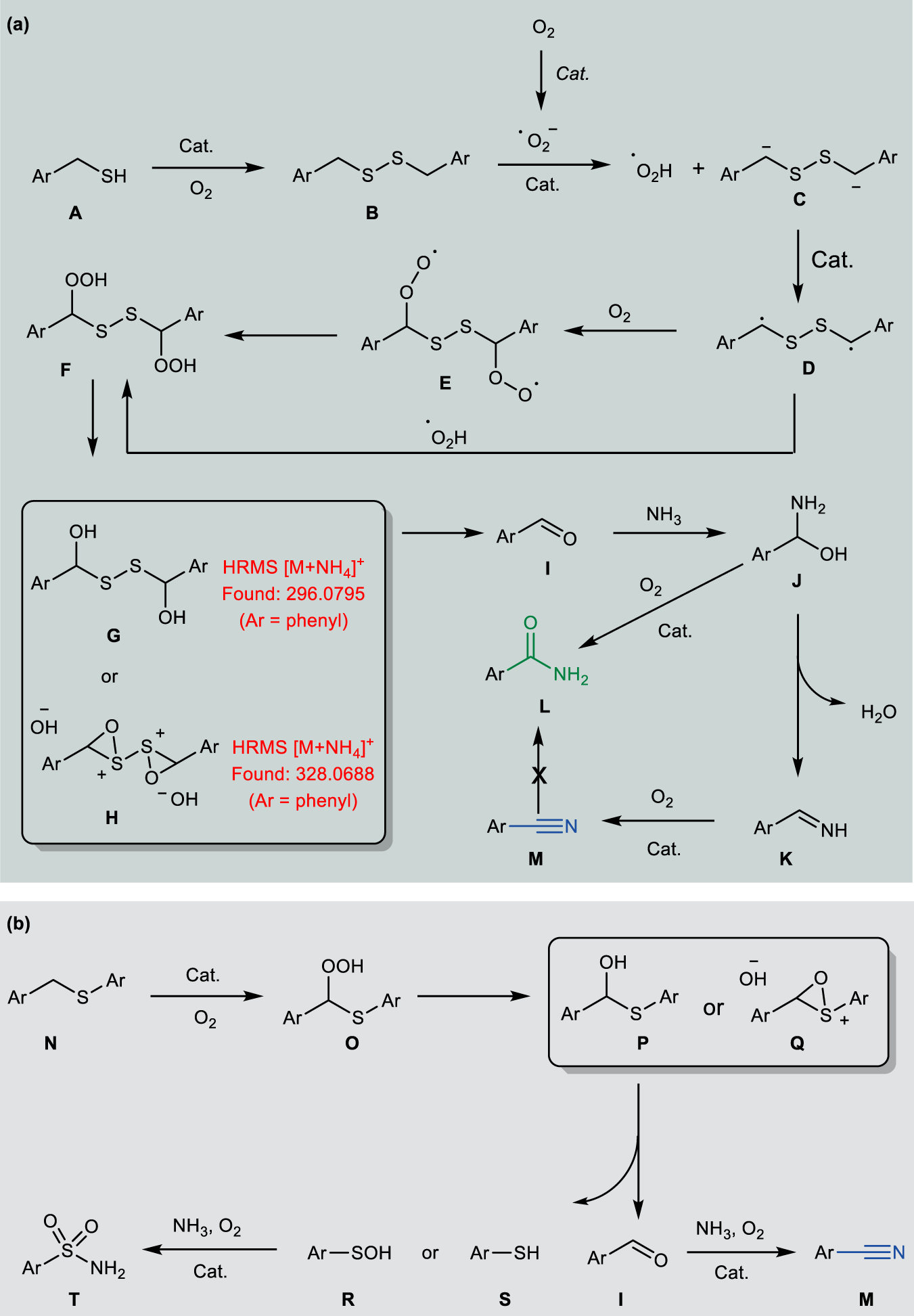
Fig. 8: Proposed mechanism. | Nature Communications