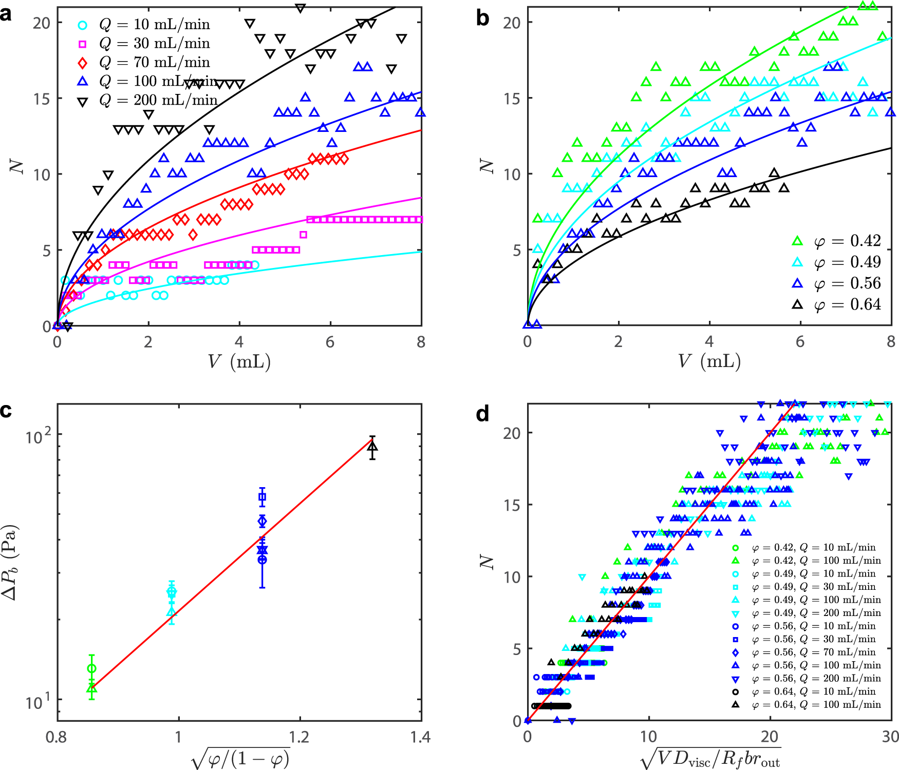
Fig. 5: Simultaneously growing fingers.
From: Frictional fluid instabilities shaped by viscous forces

N as a function of injected volume V = Qt for (a) φ = 0.56 and different injection rates Q and (b) Q = 100 mL/min and different filling fractions φ. We also plot Eq. (7) for each Q–φ combination (curves), fitting the value of ΔPb(φ) in each case. c We then plot these values of ΔPb(φ) against \(\sqrt{\varphi /(1-\varphi )}\) on a semi-log scale (same legend as (d)), indicating an exponential relationship with σβ = 0.20 (red line, Eq. (2)). d Finally, we plot N against \(\sqrt{V{D}_{{{{{{{{\rm{visc}}}}}}}}}/({R}_{f}b{r}_{{{{{{{{\rm{out}}}}}}}}})}\) for all experiments, as suggested by Eq. (7) (red line).