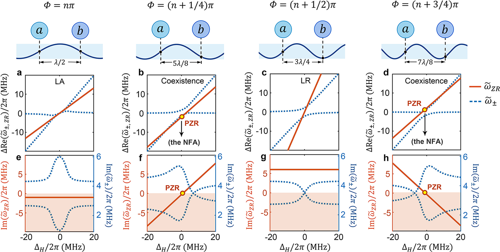
Fig. 2: The theoretical calculations of zero-reflection (ZR) condition and mode hybridization.
From: Non-Hermitian control between absorption and transparency in perfect zero-reflection magnonics

a–d The frequency detunings of the real parts of ZR conditions, \(\Delta {{{{{\rm{Re}}}}}}({\widetilde{\omega }}_{{ZR}})={{{{{\rm{Re}}}}}}\left({\widetilde{\omega }}_{{ZR}}\right)-{\omega }_{2}\) (orange solid lines), and the frequency detunings of the real parts of eigenvalues, \(\Delta {{{{{\rm{Re}}}}}}\left({\widetilde{\omega }}_{\pm }\right)={{{{{\rm{Re}}}}}} \left({\widetilde{\omega }}_{\pm }\right)-{\omega }_{2}\) (blue dashed curves), as functions of ΔH in four Φ cases, Φ = nπ, (n + 1/4)π, (n + 1/2)π, (n + 3/4)π, n ∈ N, respectively. e–h Correspondingly, the imaginary parts of ZR conditions, \({{{{{\rm{Im}}}}}} ({\widetilde{\omega }}_{{ZR}})\) (orange solid lines) and the frequency detunings of the imaginary parts of eigenvalues, \({{{{{\rm{Im}}}}}} ({\widetilde{\omega }}_{\pm })\) (blue dashed curves), as functions of ΔH. In (e–h), \({{{{{\rm{Im}}}}}} ({\widetilde{\omega }}_{{ZR}})\) correspond to the left scale and \({{{{{\rm{Im}}}}}} ({\widetilde{\omega }}_{\pm })\) correspond to the right scale, the white and orange areas are divided by the horizontal line of \({{{{{\rm{Im}}}}}}({\widetilde{\omega }}_{{ZR}})=0\). Circles in (b, f) and (d, h) represent the perfect zero-reflection (PZR) conditions. The top panels of (a–d) are the schematic diagrams at ΔH = 0 when Φ = π, 5/4π, 3/2π, 7/4π, respectively, assuming n = 1. The abbreviations LA and LR represent level attraction and level repulsion, respectively.