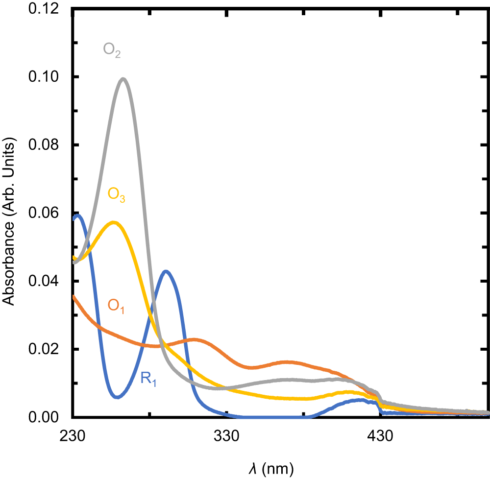
Fig. 7: Inference of UV-vis spectra using MCR-ALS. | Nature Communications