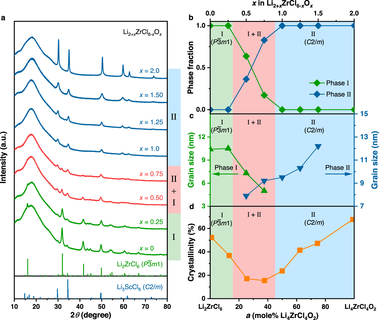
Fig. 1: Composition-dependent phase evolution in Li2+xZrCl6-xOx.

a XRD patterns of the mechanochemically synthesized Li2+xZrCl6-xOx. The broad hump below 30° comes from the Kapton film used to prevent air exposure during measurement. No smoothening was conducted to any of the diffraction data displayed here. b−d Variation of phase fractions (b), grain sizes (c), and crystallinity (d) with composition. The data were acquired from Rietveld refinement.