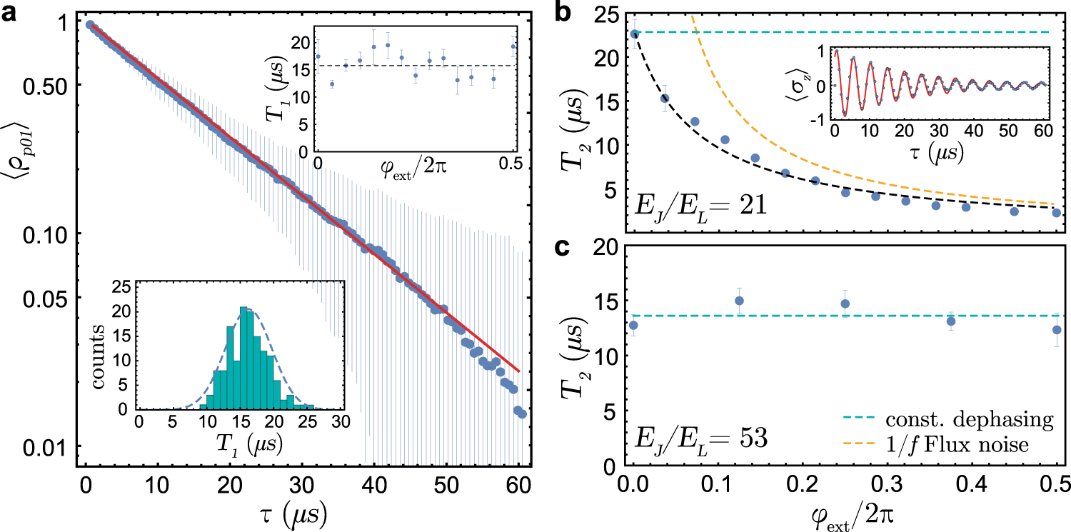
Fig. 6: Qubit plasmon relaxation and dephasing measurements.

a The normalized readout voltage proportional to the average excited state population of device C after a π pulse excitation of the \(\left|{p}_{01}\right\rangle\) state at various flux values. The blue points are the mean of all measured traces, and the bars show the standard deviation of the individual measurements. The data does not show a direct indication for quasi-particle induced loss and fits well to a single decay exponential function (red line) yielding T1 = 15.8 μs. The histogram of all 120 measured relaxation times (bottom inset) agrees with a single-peaked Gaussian envelope (dashed line). The measured T1 times are approximately constant vs. external flux (top inset, error bars show statistical standard error), but the observed fluctuations around the mean (dashed line) suggest two-level-system coupling and dielectric losses. b and c show T2 decoherence times obtained from standard Ramsey measurements (top inset) for device C with EJ/EL = 21 and device A with EJ/EL = 53, respectively. The maximum T2 = 22.6 μs of device C is strongly reduced by flux noise away from the integer flux sweet spot. We fit the flux dependence (dashed black line) using the measured mean T1, a thermal photon shot noise in the resonator Tth ≈ 90–100 mK (dashed cyan line) and a 1/f flux noise amplitude of AΦ = 98 μΦ0 (dashed yellow line). Device A shown in panel (c), on the other hand, exhibits strong dephasing protection due to its large inductance. Over the full flux range, T2 is scattered around the mean T2 = 13.6 μs (dashed cyan line) without a clear flux dependence. It was possible to measure the T1 and T2 data at each flux value for around 30 minutes without unwanted switching events, also for values very close to half flux.