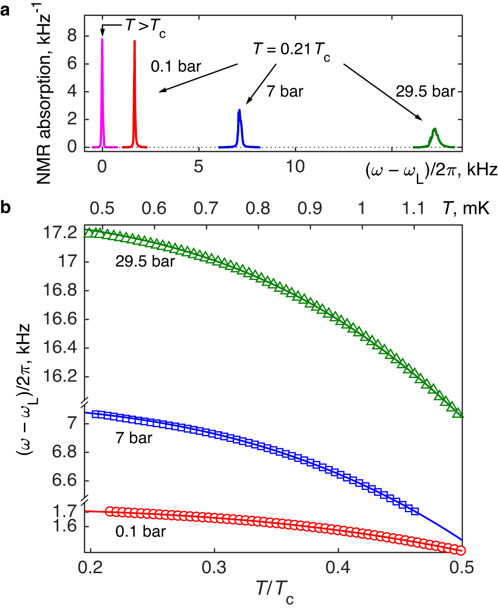
Fig. 2: NMR measurements of the temperature dependence of the gap in the polar phase.
From: Topological nodal line in superfluid 3He and the Anderson theorem

a NMR spectrum of 3He in the polar phase (T < Tc) demonstrates the frequency shift from the Larmor value ωL, where the spectrum in the normal state (T > Tc) is located. From the temperature dependence of the shift, the temperature dependence of the gap Δ(T) can be extracted. The spectra on the plot are normalized so that the total integral of absorption is unity. b Temperature dependence of the frequency shift in the polar phase at the lowest temperatures at three pressures (symbols). Lines are fit of the data in the temperature range 0.3 < T/Tc < 0.5 to Eq. (4) using a and ω(0) as fitting parameters. The fitted values are shown in Fig. 3b and 4, respectively. Absolute temperatures on the upper x-axis refer to 29.5 bar pressure.