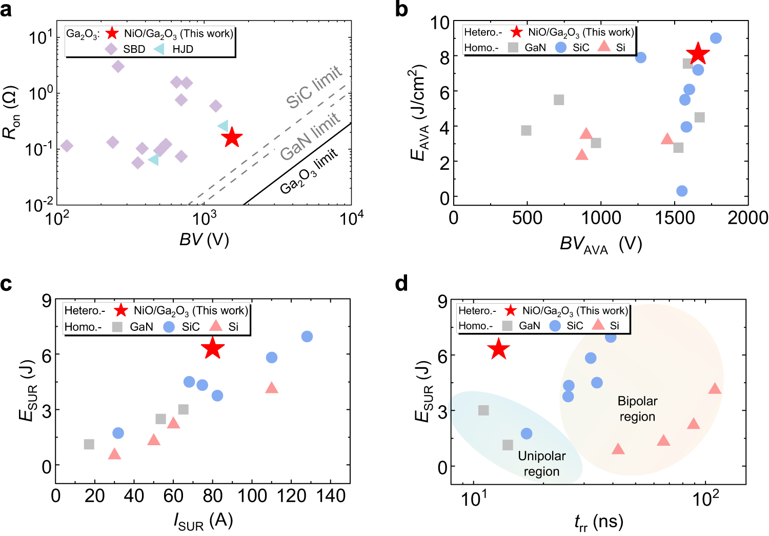
Fig. 5: Benchmarking performance and robustness of the Ga2O3 HJD against commercial Si, SiC, and GaN power diodes.
From: An avalanche-and-surge robust ultrawide-bandgap heterojunction for power electronics

a Ron versus BV benchmark for all the ampere-class Ga2O3 power diodes. b EAVA versus BVAVA benchmark, c Surge energy (ESUR) versus peak surge current (ISUR) benchmark, and d ESUR versus reverse recovery time (trr) benchmark, all for Ga2O3, GaN, SiC, and Si power diodes.