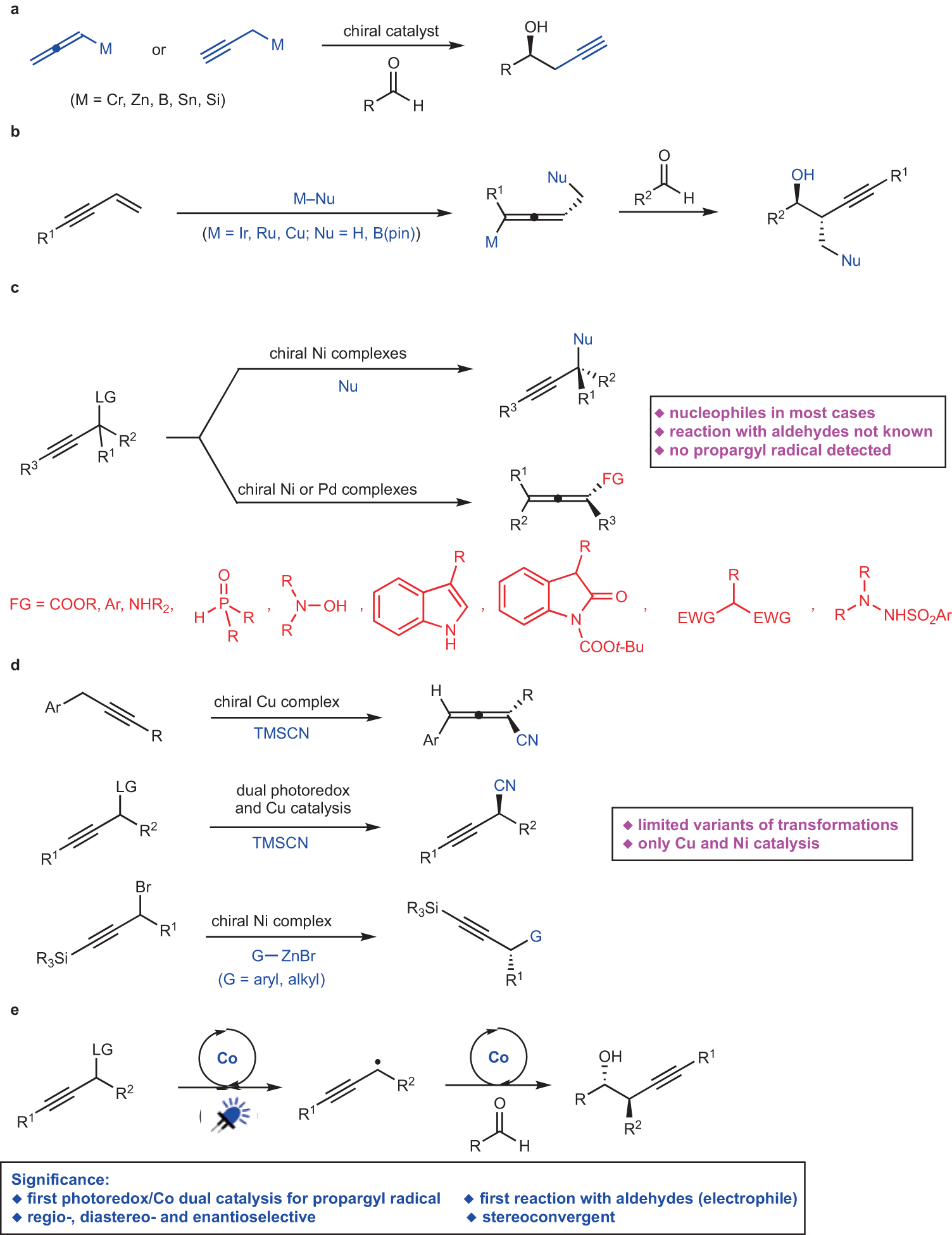
Fig. 1: Catalytic enantioselective propargylation and reaction design.

a Catalytic enantioselective propargylation of aldehydes with stoichiometric amounts of organometallic reagents. b Catalytic enantioselective propargylation of aldehydes initiated by metal–nucleophile addition to 1,3-enynes. c Catalytic enantioselective reactions of racemic propargylic precursors via chiral allenyl–metal intermediates. d Catalytic enantioselective transformations via propargyl radicals. e Catalytic diastereo- and enantioselective propargyl addition of aldehydes via propargyl radicals (this work).