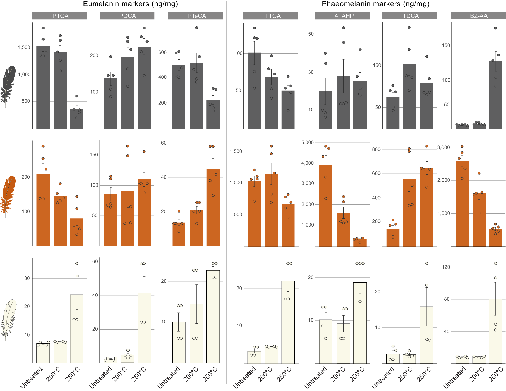
Fig. 2: AHPO-HPLC data for black, rufous and white feathers from extant birds with, and without, thermal treatment.

Bar charts show melanin marker concentrations in black and rufous (each n = 5; Gallus gallus) and white (n = 4; Egretta garzetta) feathers; data are shown for untreated feathers and feathers thermally matured at 200 °C and 250 °C. Melanin markers are generated during alkaline hydrogen peroxide oxidation (AHPO) and hydroiodic (HI) acid hydrolysis. Data are presented as mean ± SD. PTCA pyrrole-2,3,5-tricarboxylic acid, PDCA pyrrole-2,3-dicarboxylic acid, PTeCA pyrrole-2,3,4,5-tetracarboxylic acid, TTCA thiazole-2,4,5-tricarboxylic acid, 4-AHP 4-amino-3-hydroxyphenylalanine, TDCA thiazole-4,5-dicarboxylic acid, BZ-AA benzothiazole amino acid. Source data are provided as a Source Data file.