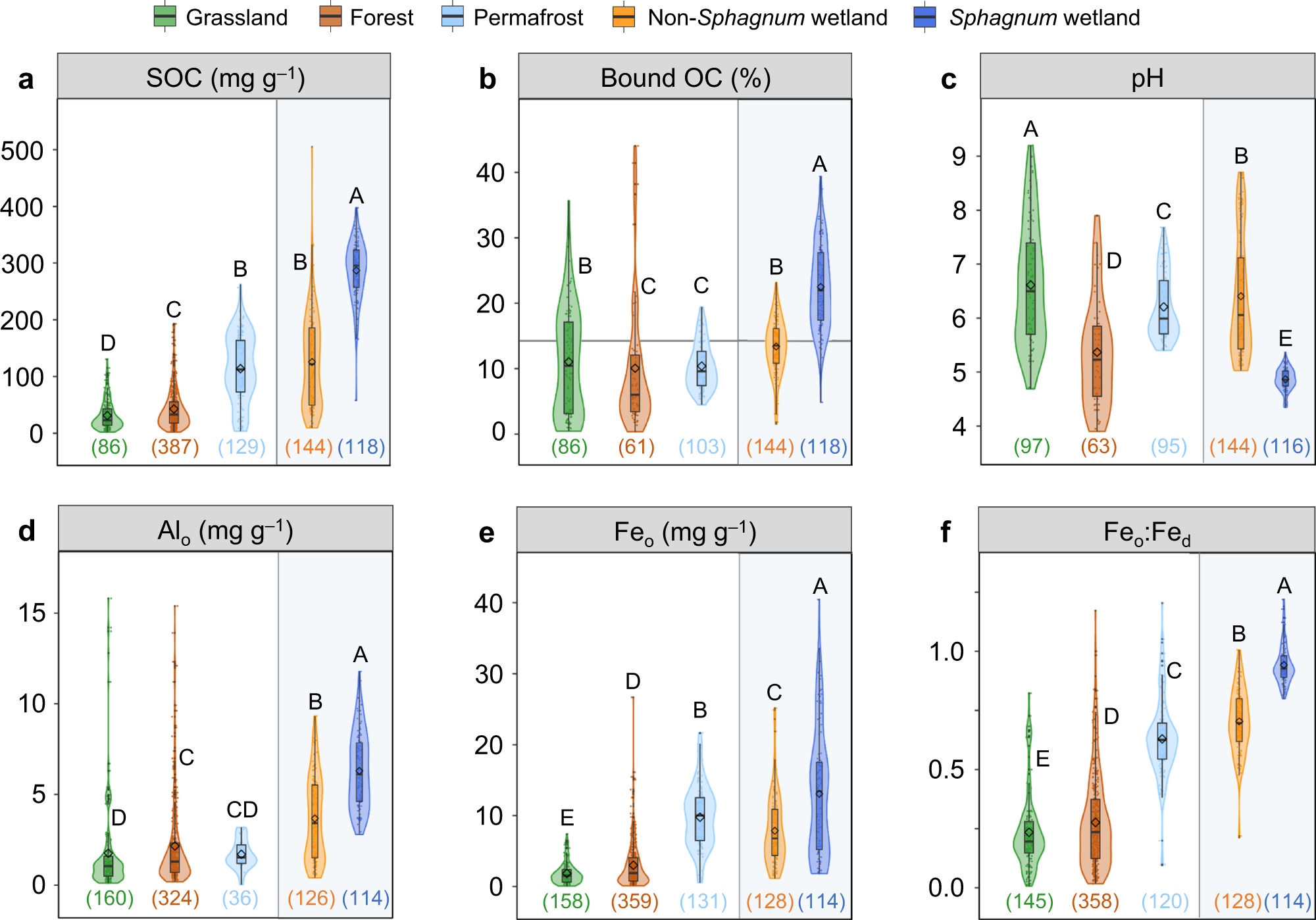
Fig. 2: Comparison of metal-organic associations across different terrestrial ecosystems.

a SOC; (b) bound OC relative to SOC; (c) pH; (d) Alo; (e) Feo; (f) Feo:Fed. SOC, soil organic carbon; bound OC, organic carbon bound to reactive metal oxides extracted by the citrate-bicarbonate-dithionite method; Feo and Alo, oxalate-extractable iron and aluminum; Fed, dithionite-extractable iron. Gray line in (b) represents the average value of terrestrial ecosystems26. Numbers in parenthesis indicate the number of samples. Upper-case letters indicate different levels among various ecosystems (p < 0.05; one-way ANOVA). The violin plot shows the distribution of data. The solid line and rhombus in the box mark the median and mean of each dataset, respectively. The upper and lower ends of boxes denote the 0.25 and 0.75 percentiles, respectively. The upper and lower whisker caps denote the 1.5 interquartile range of upper and lower quartile, respectively. Dots indicate the value of samples. Dots outside whiskers indicate outliers.