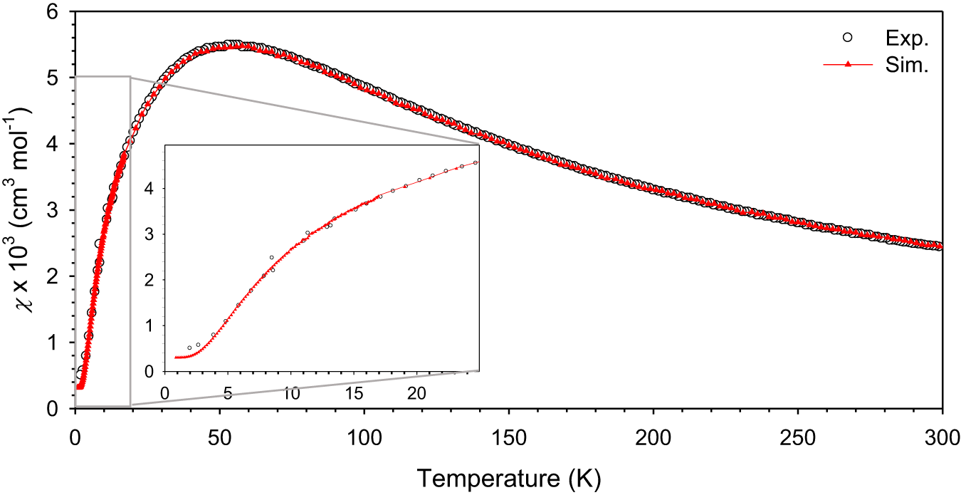
Fig. 6: Quantum Monte Carlo results for the magnetic susceptibility of NiBO as a function of temperature.
From: Haldane topological spin-1 chains in a planar metal-organic framework

The inset shows the magnetic susceptibility data in the low-temperature range. The QMC data fits well with the experimental data down to the low-temperature regime. Source data are provided as a Source Data file.