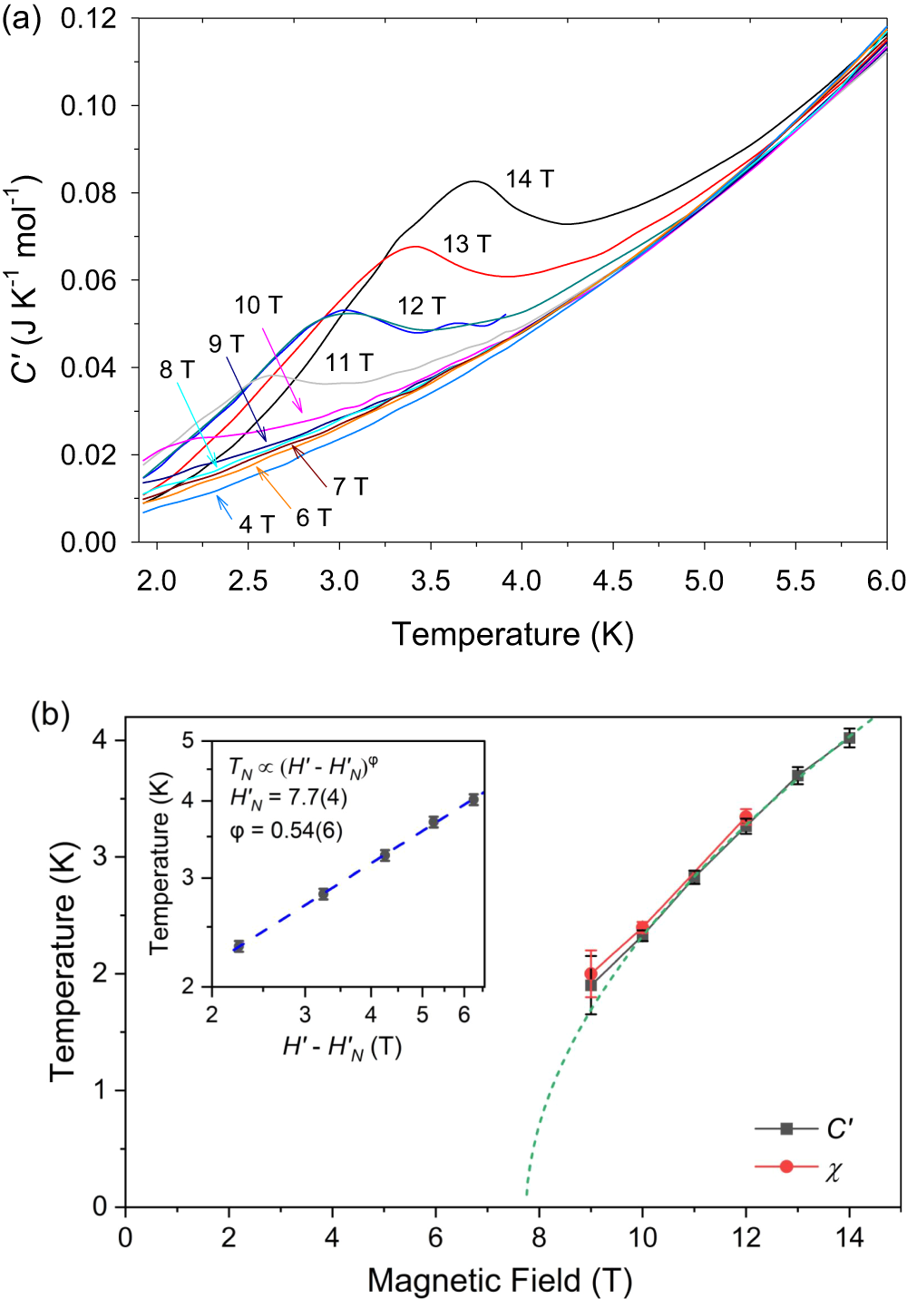
Fig. 7: Specific heat data and the temperature-magnetic field phase diagram of NiBO showing a phase transition.
From: Haldane topological spin-1 chains in a planar metal-organic framework

a Magnetic field-dependent specific heats of NiBO from 1.92 to 6.00 K at 0-14 T. b Temperature-magnetic field phase diagram of NiBO from specific heat (C′) and magnetization (χ) including their respective error bars in the temperatures. The green dash line presents the fitting TN vs (H′−H’N)φ. Inset: Plot of ln TN vs ln (H′−H’N) including error bars in ln TN. TN is the critical temperature. H’N is the critical field. H′ is the magnetic field. φ is the crossover exponent. Source data are provided as a Source Data file.