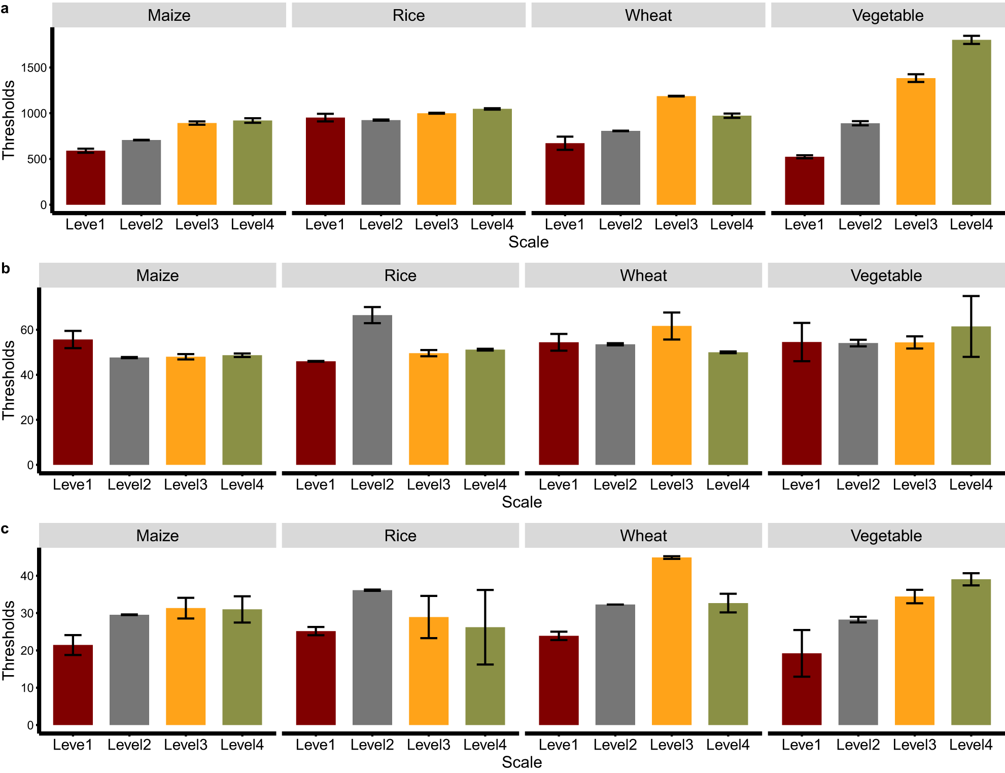
Fig. 4: Thresholds of land system intensification for risk–yield tradeoffs across scales.

a Thresholds for manure fertilization (kg N/km2/yr). b Thresholds for irrigated area proportion (%). c Thresholds for arable land proportion (%). The development Kuznets curves are used to describe the relationships between land system intensification and risk–yield tradeoffs, and inverted U-shaped relationships generally exist (Supplementary Fig. 7). A threshold of land system intensification is identified when the inverted U-shaped curve has a slope value of zero. The columns and error bars indicate mean values and standard errors, which were estimated by uncertainties of regression parameters (n = 17 for level 1, n = 177 for level 2, n = 414 for level 3, n = 818 for level 4).