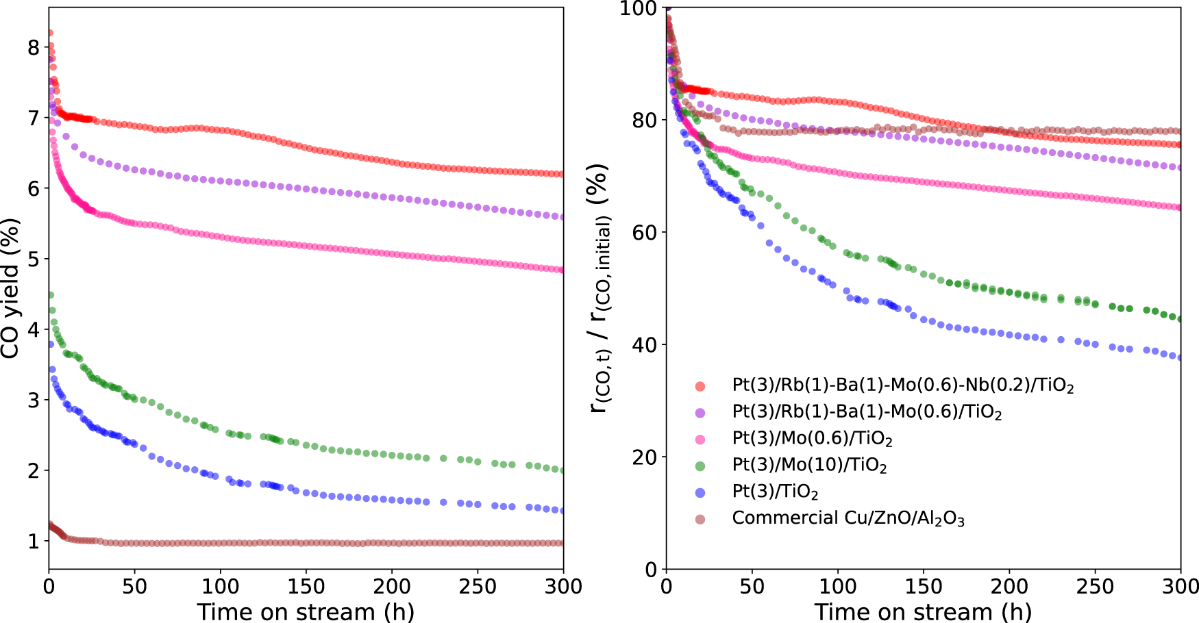
Fig. 6: Long-term stability.

Durability test for the supported Pt and commercial Cu/ZnO/Al2O3 catalysts at the RWGS reaction conditions of 10 mg catalyst, 10 mL min−1 CO2, 30 mL min−1 H2, and 5 mL min−1 N2 (internal standard for GC analysis), 250 °C and 1 atm.