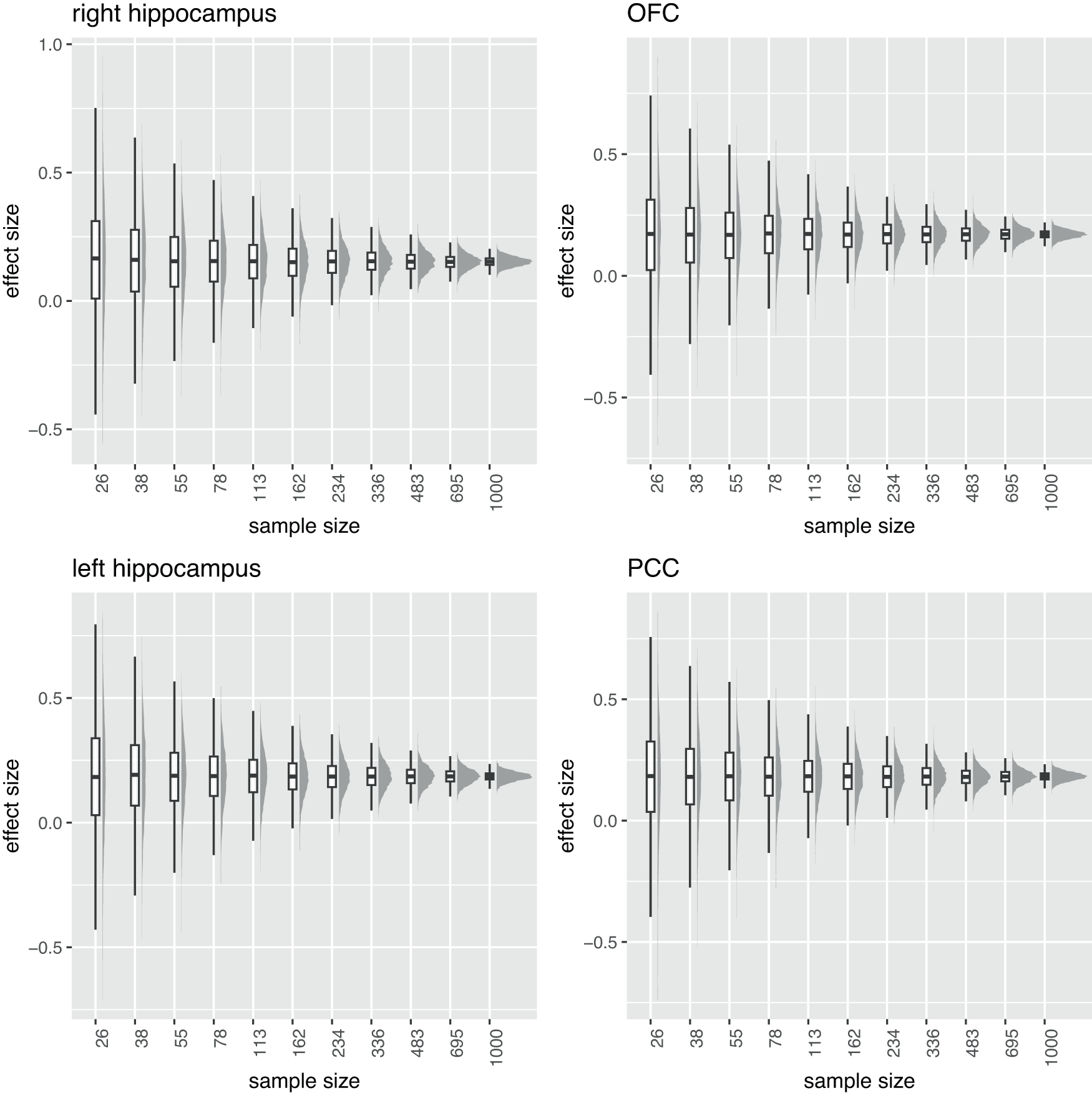
Fig. 5: Reproducibility of brain–behavior correlations.
From: Neurofunctional underpinnings of individual differences in visual episodic memory performance

Distribution (boxplot and histogram) of brain–behavior standardized effect sizes for various sample sizes (n = 26, 38, 55, 78, 113, 162, 234, 336, 483, 695, 1000) in the four clusters identified in the brain–behavior correlation analysis (p-FWE-corrected < 0.05, see Fig. 4). For every sample size, random participants were sampled 5000 times to compute the association. Boxes denote the 25th to 75th percentile and the median line. Whiskers extend 1.5 times the interquartile range from the edges of the box. Abbreviations: OFC orbitofrontal cortex, PCC posterior cingulate cortex. Source data are provided as a Source Data file.