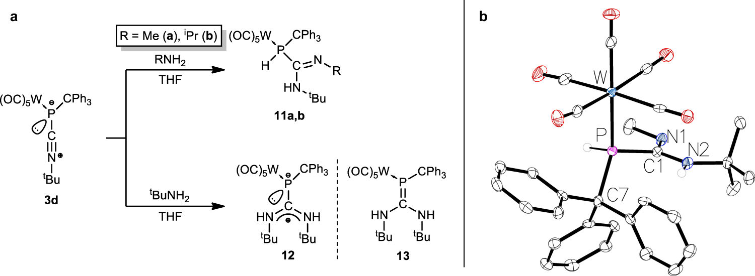
Fig. 5: 1,2-Addition reactions of amines.

a Reaction scheme for the amine addition (i) to the P-C and (ii) C-N bond of complex 3d. b Molecular structure of 11a. Thermal ellipsoids are set at 50% probability and hydrogen atoms are omitted for clarity except those bound to phosphorus and nitrogen atoms. Selected bond lengths / Å and bond angles / ° (bond lengths and bond angles in square brackets are of the second independent molecule of 11a): W-P 2.5166(12) [2.5239(12)], P-C7 1.931(5) [1.915(5)], P-C1 1.867(5) [1.889(5)], N1-C1 1.272(6) [1.270(6)], N2-C1 1.371(6) [1.363(6)], C1-N1-C2 121.9(4) [123.2(4)], C1-N2-C3 126.3(4) [126.7(4)], N1-C1-P 125.5(4) [125.3(4)], N2-C1-P 112.2(3) [112.5(3)], N1-C1-N2 121.7(4) [121.4(4)]. The homologous Cr(CO)5 complex is presented in the SI (SI-Fig. 117).