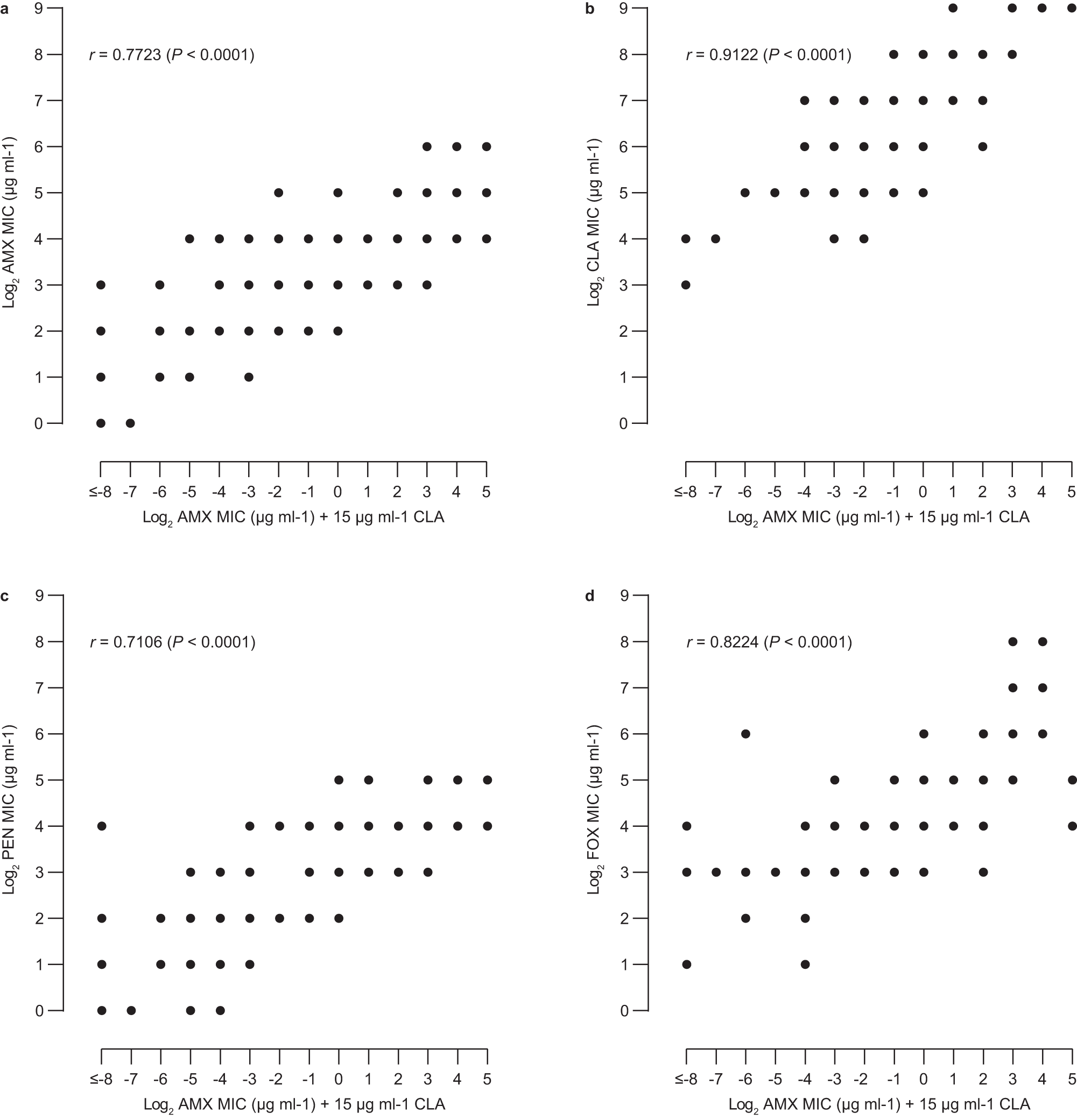
Fig. 3: Correlation between the minimum inhibitory concentrations of amoxicillin/clavulanic acid and other β-lactam antibiotics.

Comparison of the minimum inhibitory concentrations (MICs) of amoxicillin in the presence of 15 μg ml−1 clavulanic acid and the MICs of amoxicillin alone (a), clavulanic acid alone (b), penicillin G alone (c), and cefoxitin alone (d). Two-tailed Spearman correlation tests were used to compare MICs of different antibiotics. AMX amoxicillin, CLA clavulanic acid, PEN penicillin G, FOX cefoxitin, r Spearman correlation coefficient. Source data are provided as a Source Data file.