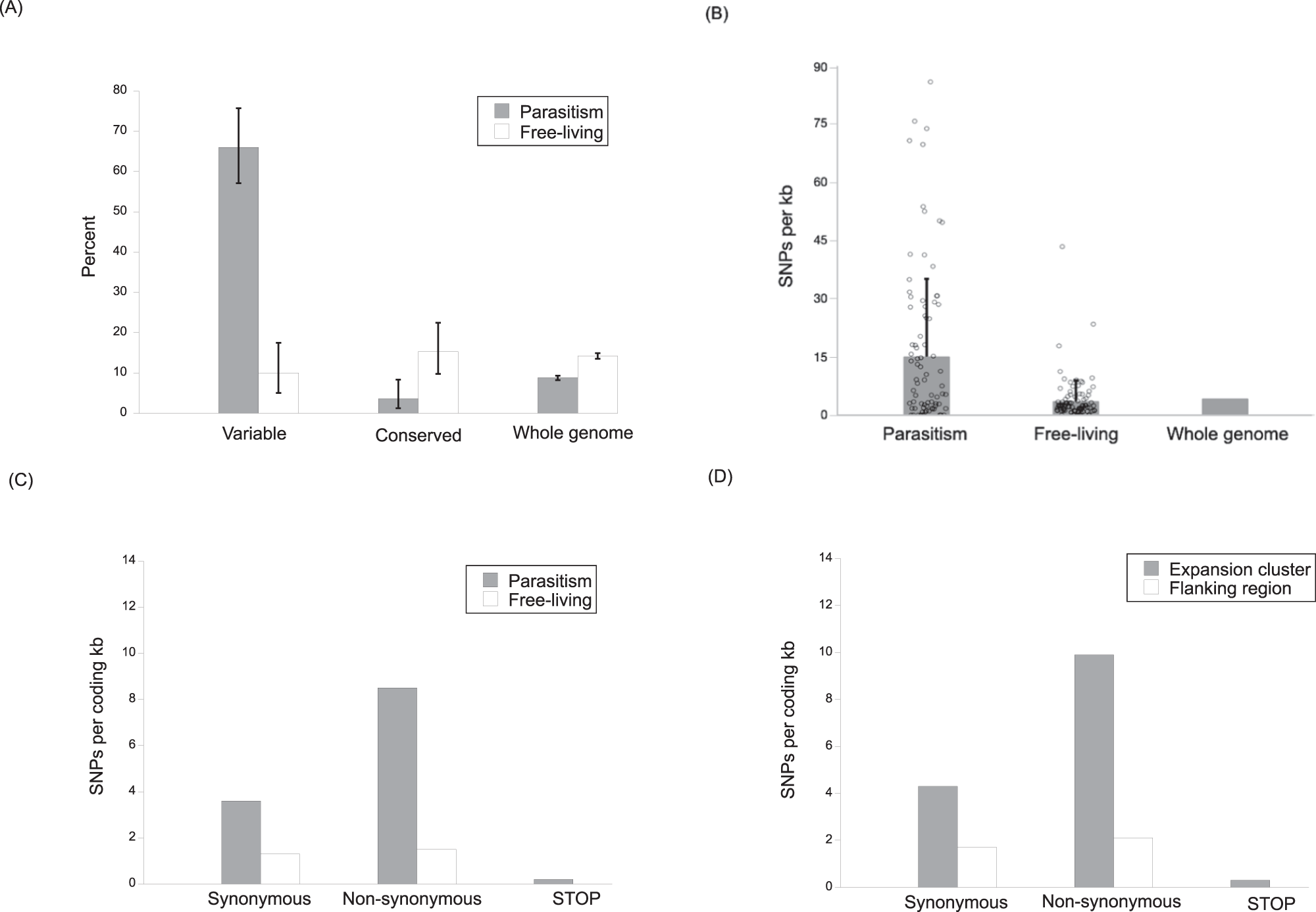
Fig. 4: S. ratti genes involved in parasitism are highly diverse.

A The percentage of genes in high diversity regions (≥200 SNPs per 10 kb), conserved regions (≤4 SNPs per 10 kb), or across the whole genome as a whole, that are parasitism or free-living genes. There were 107 genes in the variable regions, 137 in the conserved regions, and 12,464 across the whole genome. Parasitism and free-living genes are defined by Hunt et al.19. Errors bars are 95% binomial confidence intervals. B The average number of SNPs per kb (+1 SD) in parasitism genes (range 0–85.9), free-living genes (0–41.5), or across the genome as a whole. The SNP density for parasitism and free-living genes is calculated from coding sequence only; for the whole genome, all sequence data are used and so no SD is given. C The average density of SNPs of different effects in parasitism and free-living genes. D The average density of SNPs of different effects in expansion clusters and flanking regions.