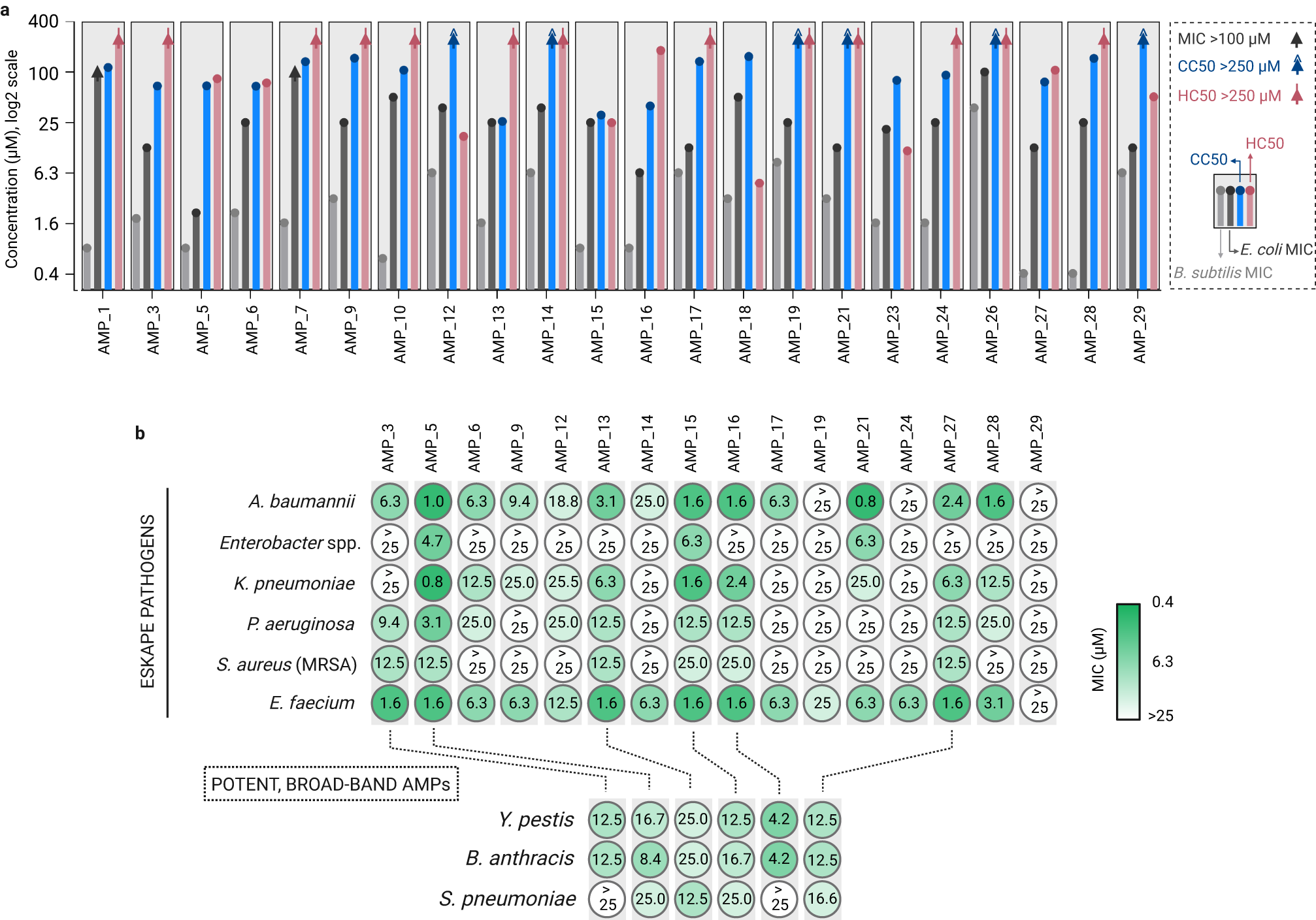
Fig. 4: Bioactivity characterization of chemically synthesized functional AMPs.

a Minimum inhibitory concentration (MIC) of the AMPs against B. subtilis (gray) and E. coli (black), average of n = 3 independent experiment. CC50 (50% cytotoxicity, blue) and HC50 (50% hemolysis, red) values of the AMPs on HCT116 human colon cells and human red blood cells, respectively (average of n = 2 independent experiments). Arrows show values above the measured limits, black, blue and red for MIC > 100 µM, CC 50 > 250 µM and HC50 > 250 µM, respectively. MIC, HC50 and CC50 values are provided in Supplementary Table 10. b MIC values of the AMPs tested against ESKAPE pathogens including E. faecium, Methicillin-resistant S. aureus (MRSA), K. pneumoniae, A. baumannii, P. aeruginosa, Enterobacter spp measured in duplicates (n = 2 independent experiments) and MIC of the six potent, broad-band AMPs on Y. pestis and B. anthracis and S. pneumoniae as the average of triplicates (n = 3 independent experiments). Created with BioRender.com.