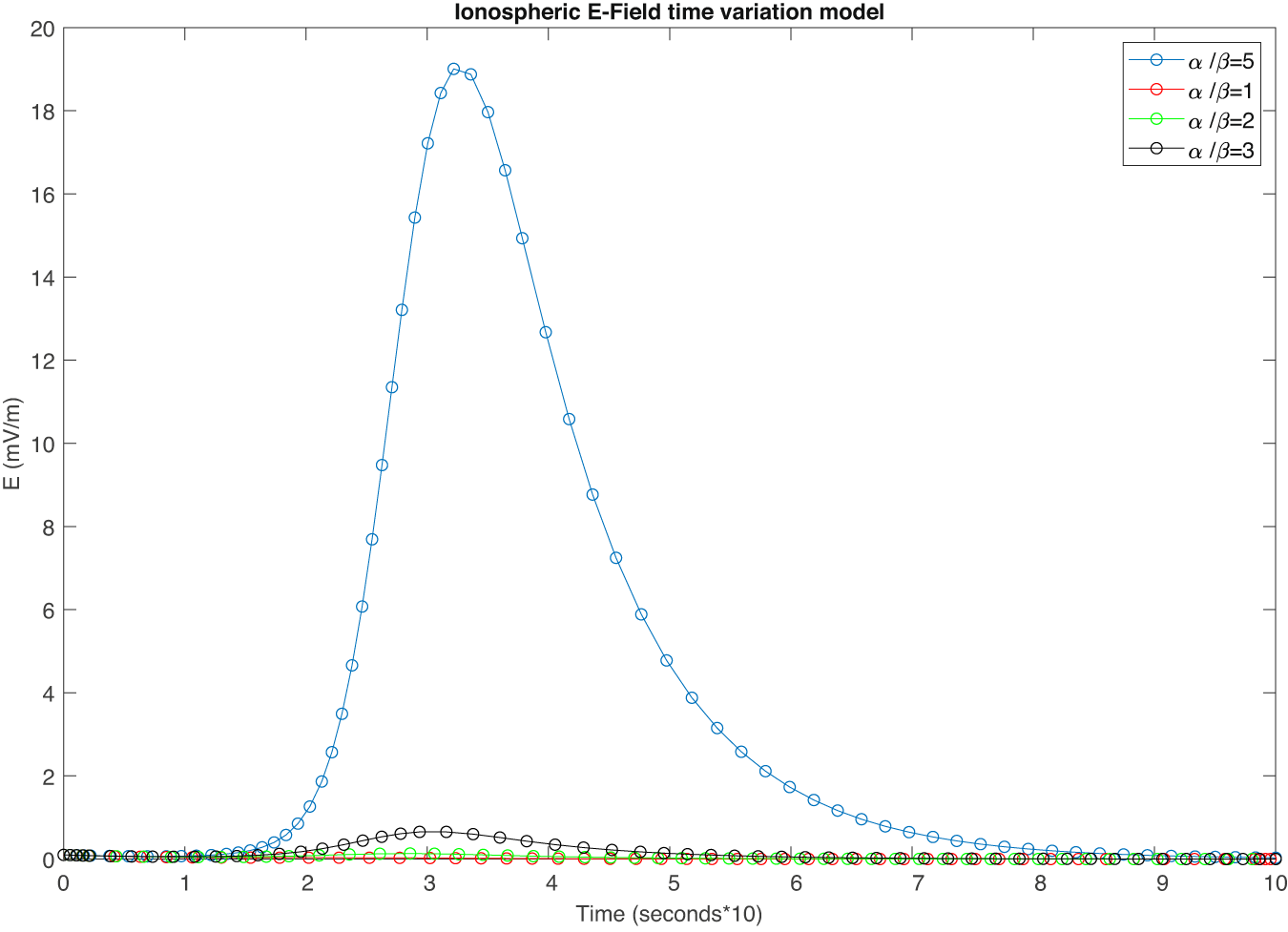
Fig. 6: Modelling of ionospheric electric field variation induced by a GRB.
From: Evidence of an upper ionospheric electric field perturbation correlated with a gamma ray burst

Model results of top-side ionospheric electric field time variation induced by a impulsive photon source. Colours are representative of different photon production/absorption rate ratio.