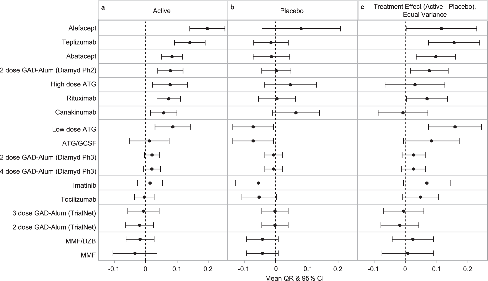
Fig. 5: Use of QR to interpret across clinical trials.
From: A standardized metric to enhance clinical trial design and outcome interpretation in type 1 diabetes

Mean QR ± 95% confidence interval (CI) for (a) active treatment, (b) control/placebo group, and (c) the difference between treatment arms for each trial determined from two-tailed t-test. N for each treatment group is reported in Table 1.