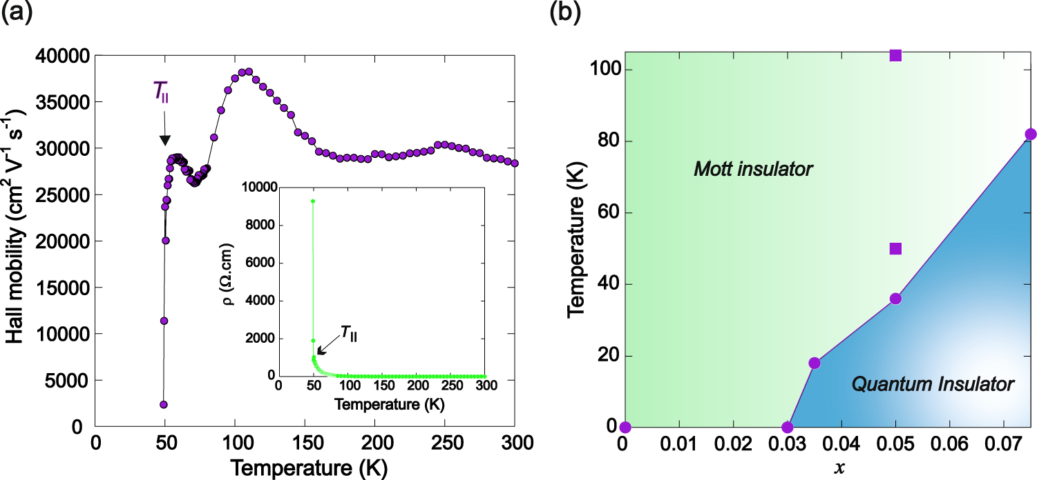
Fig. 2: Hall mobility and resistivity of Ce0.97MnAsO0.95F0.05 and electronic phase diagram of CeyMnAsO1-xFx.

a The temperature dependence of the Hall mobility of Ce0.97MnAsO0.95F0.05 (defined as |RH(T)|/ρ(T), where RH(T) is the Hall coefficient recorded in H = 5000 Oe and ρ is the resistivity). A small drop in the Hall mobility is detected at the transition to variable range hopping (100 K) followed by a dramatic reduction in the mobility of the electrons at TII. The resistivity is shown in the inset and becomes too high to measure below 48.5 K. b The phase diagram shows the boundary of the Mott insulating phase and the quantum insulating phase for x = 0.00–0.075. The filled circles show TII for Ce stoichiometric phases and the filled squares shows TII for CeyMnAsO0.95F0.05 (y = 0.96 and 0.97).