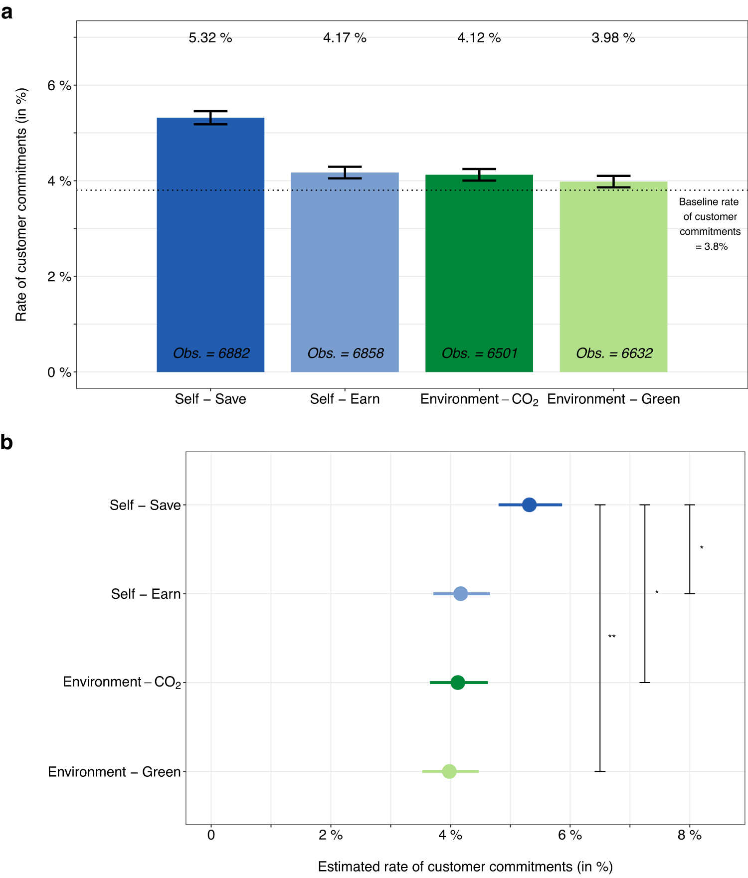
Fig. 2: Effect of message framing to promote solar panels in the field.

a Observed rate of customers deciding to commit to solar panels and the overall number of observations by condition. Here, the observations (Obs.) are the number of customers per condition. Overall, N = 26,873 customers visited the e-commerce website during the 14-day period of the field experiment. The most effective intervention (Self-Save) increased the rate of customers committing to solar panels by 30% compared to the average of the other interventions. The baseline rate of commitment in the two weeks prior to the experiment was 3.8% (dotted line). Whiskers denote standard errors. b Estimated effect of the different interventions on the rate of customers committing to solar panels using the regression model. The coefficients capture the effect of each intervention on the decision to commit to solar panels (= 1) or not (= 0). Across all conditions, the largest coefficient is found for Self-Save. The non-overlapping 95% confidence intervals (CIs) between the coefficient of Self-Save and the other messages imply a statistically significant treatment effect of framing solar panel investments as cost savings for oneself. The estimated coefficients are shown as the mean rate of customers committing to solar panels for each intervention (i.e., by transforming the original coefficient αCondition[i] via \({{{{{{{{\rm{e}}}}}}}}}^{{\alpha }_{{{{{{{{\rm{Condition}}}}}}}}[{{{{{{{\rm{i}}}}}}}}]}}/(1+{{{{{{{{\rm{e}}}}}}}}}^{{\alpha }_{{{{{{{{\rm{Condition}}}}}}}}[{{{{{{{\rm{i}}}}}}}}]}})\)) as the mean (dot) and 95% CI (bars). Stars indicate that CIs do not overlap for 95% CIs (*) and 99% CIs (**). All statistics are based on N = 26,873 customers who visited the e-commerce website. Detailed estimation results for all coefficients are in Supplementary Materials 4.