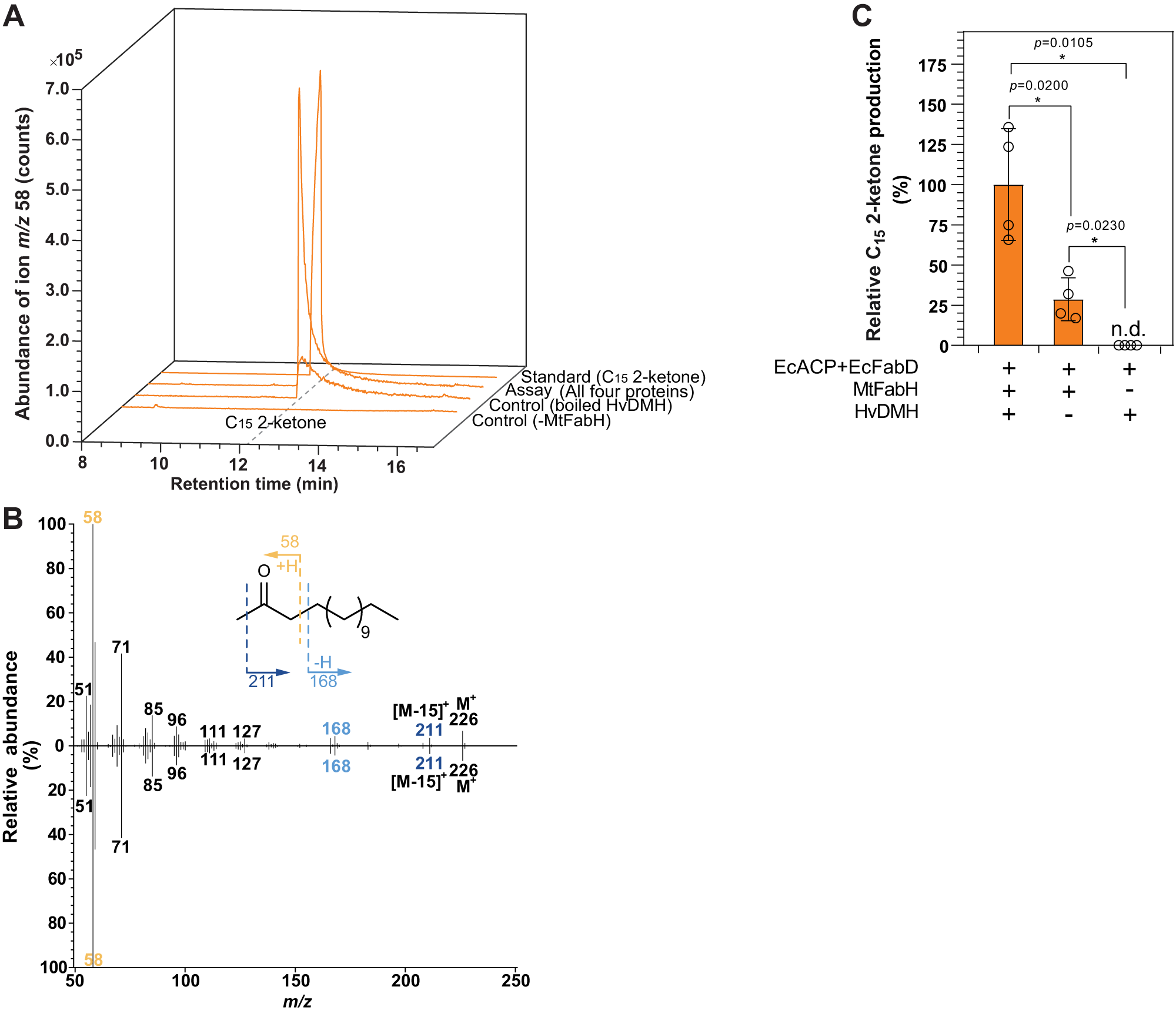
Fig. 4: In vitro characterization of barley diketone metabolism hydrolase (HvDMH).

A Gas chromatograms of the characteristic ion m/z 58 of 2-ketones. Trace of the standard is compared with that of extracted assay product. Barley HvDMH enzyme was incubated with E. coli acyl carrier protein (EcACP), E. coli malonyl-CoA:ACP transferase (EcFabD), and Mycobacterium tuberculosis 3-ketoacyl-ACP synthase (MtFabH), and with C14 fatty acyl-CoA and malonyl-CoA substrates. An identical assay with boiled HvDMH protein served as control for the hydrolase activity, and an assay lacking the MtFabH enzyme tested for background levels of 3-ketoacyl-ACP and its decarboxylation product C15 2-ketone. B Mass spectra and fragmentation pattern of the C15 2-ketone peaks of the HvDMH assay in (A, upper panel) and standard (lower panel). C Quantification of C15 2-ketone in HvDMH assays shown in (A). Product amounts are normalized against the assay containing active HvDMH and MtFabH. Data are presented as means ± standard deviations of four biological replicates. Asterisks indicate significant differences between samples, as calculated by two-tailed Student’s t test; *P < 0.05. Source data are provided as a Source Data file.