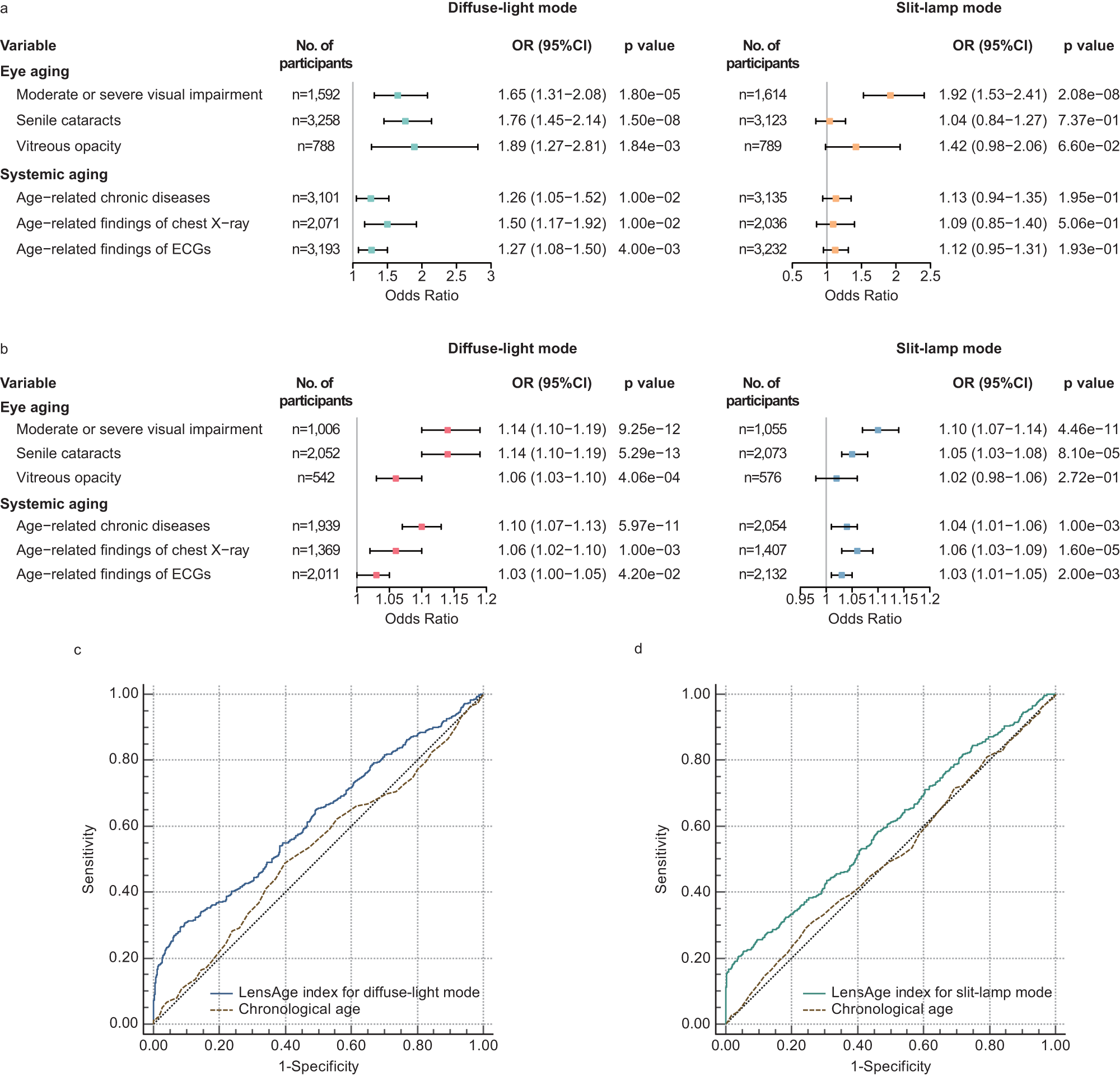
Fig. 3: The ability of the LensAge index to evaluate age-related disease risks.

a Comparison of age-related changes between individuals with positive and negative LensAge indexes. p values from two-sided tests using adjusted logistic regressions. b Association of the LensAge index with age-related changes in individuals with a positive LensAge index. p-values from two-sided tests using adjusted logistic regressions. c Comparison of the AUCs between the LensAge index and chronological age in predicting the occurrence of age-related diseases for diffuse-light mode among the participants with a LensAge index in the lowest quartile or the highest quartile using ROC curves. LensAge index, AUC = 0.621 (95% CI 0.596–0.645); chronological age, AUC = 0.523 (95% CI 0.498–0.548); difference in AUCs = 0.098 (95% CI 0.077–0.120), Z = 8.968, p < 0.0001, n = 1555, two-sided paired DeLong test. d Comparison of the AUCs between the LensAge index and chronological age in predicting the occurrence of age-related diseases for slit-lamp mode among the participants with a LensAge index in the lowest quartile or the highest quartile using ROC curves. LensAge index, AUC = 0.600 (95% CI 0.575–0.624); chronological age, AUC = 0.509 (95% CI 0.484–0.535); difference in AUCs = 0.090 (95% CI 0.030–0.151), Z = 2.924, p = 3.50e-3, n = 1536, two-sided paired DeLong test. Error bars show 95% CIs for OR values in (a, b). OR Odds ratio, CI Confidence interval, ROC Receiver operating characteristic, AUC Area under the curve. Source data are provided as a Source Data file.