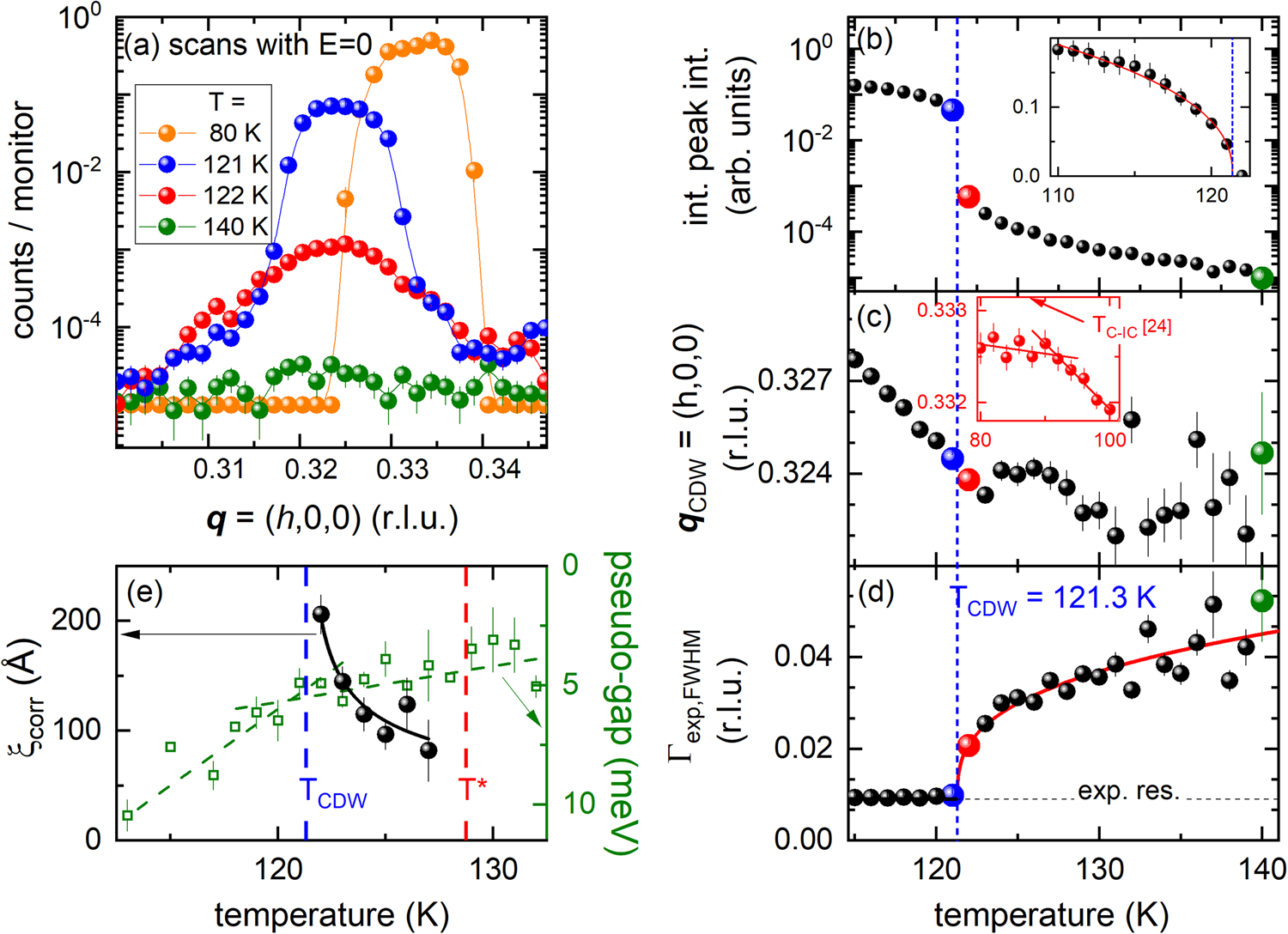
Fig. 5: High-resolution momentum scans at E = 0 and temperatures T ≤ 140 K.

a Momentum scans at zero energy transfer along the [100] direction, i.e., across qCDW for temperatures above and below the CDW transition. Data were taken in a high-momentum resolution setup (see Supplemental Note 2) to resolve the evolution of qCDW on cooling below TCDW. b–d Temperature-dependent b integrated intensity, c position qCDW and d line width Γexp,FWHM of peak fits to the momentum scans at zero energy transfer. Color-coded dots denote temperatures with data shown in (a). The inset in b shows the integrated intensity on a linear scale along with a power law fit (red line) of the form |T−TCDW|δ yielding TCDW = 121.3(2) K. The inset in c focuses on temperatures around TC-IC ≈ 88 K42. Lines are linear fits to the range below and above TC-IC. The solid red line in d is another power law fit to the corresponding data for T ≥ 122 K and yields TCDW = 121.3(2) K, indicated by the vertical blue dashed line. The dashed horizontal line in d denotes the experimental momentum resolution. e The temperature-dependent correlation length \({\xi }_{{{\rm {corr}}}}\) (spheres) of the static scattering was obtained by subtracting the data at T = 129 K (≈T*) as background and analyzing the linewidth of the static scattering rising below T* (see text, Supplemental Note 2 and Fig. S2). The solid line is a guide to the eye. The vertical blue and red dashed lines denote TCDW = 121.3 K and T* = 128.7 K, respectively. Green squares denote the temperature-dependent pseudo-gap deduced from ARPES measurements (see text, Supplemental Note 3 and Fig. S3). Dashed lines are linear fits to the data for T < TCDW and T > TCDW. Error bars represent s.d.