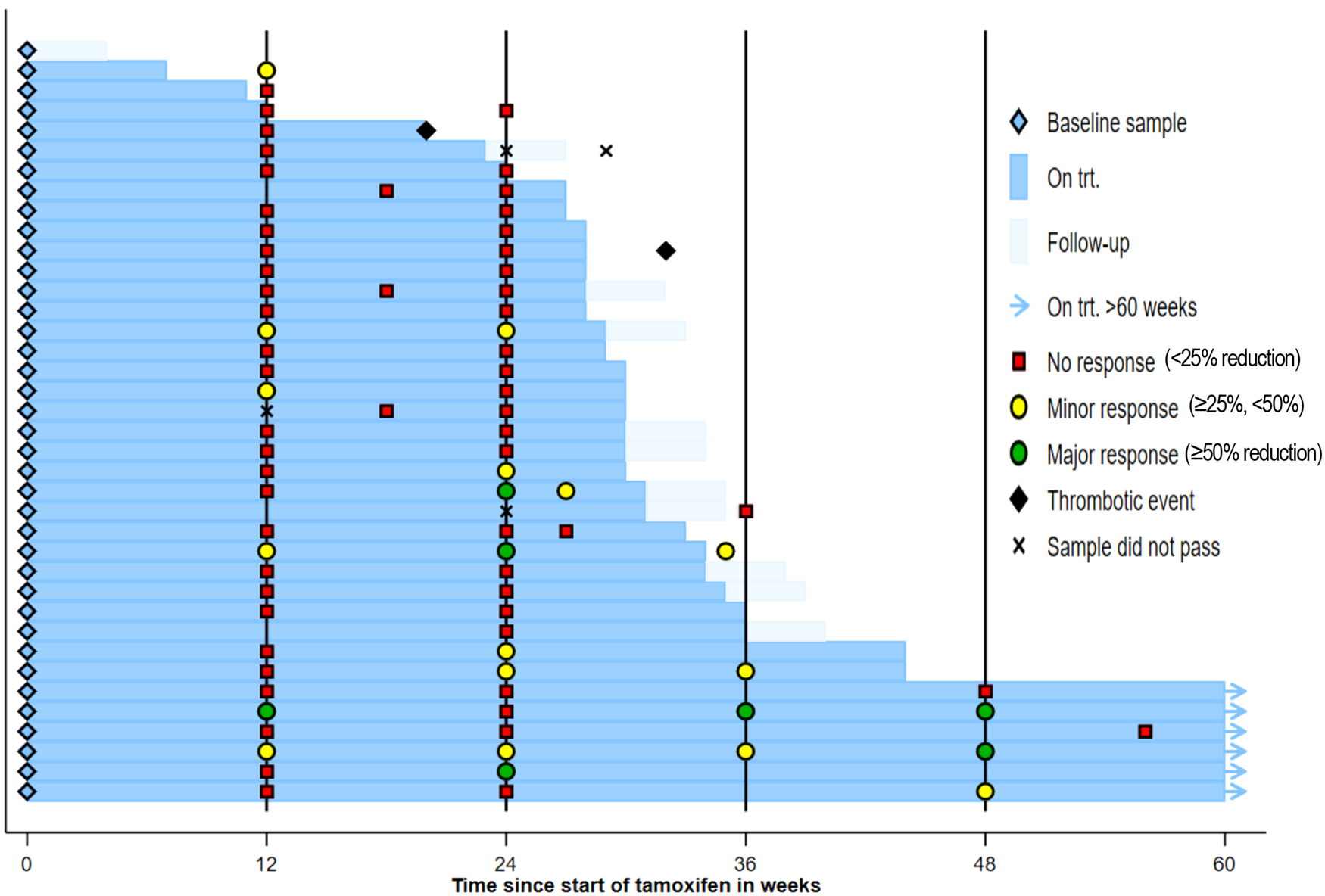
Fig. 1: Tamoxifen reduces mutant allele burden in a subset of MPN patients. | Nature Communications