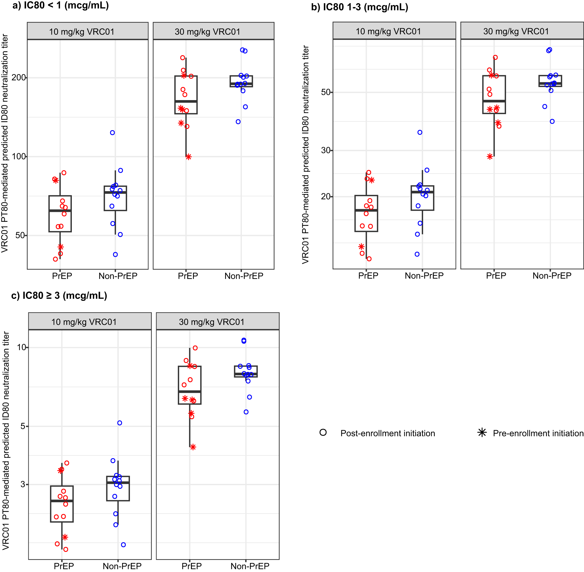
Fig. 4: Individual-level predicted serum neutralization 80% inhibitory dilution titer (PT80) biomarker among PrEP and non-PrEP users.

VRC01-specific PT80 was calculated using time-averaged serum concentrations at steady state against HIV-1 viruses acquired among HVTN 704/HPTN 085 placebo recipients with neutralization sensitivity of a IC80 < 1.0 mcg/mL; b 1.0 mcg/mL ≤ IC80 < 3.0 mcg/mL; or c IC80 ≥ 3.0 mcg/mL. The mid-line of the box denotes the median and the ends of the box denote the 25th and 75th percentiles. The whiskers at the top and bottom of the box extend to the most extreme data points that are no more than 1.5 times the interquartile range (i.e., height of the box) or if no value meets this criterion, to the data extremes.