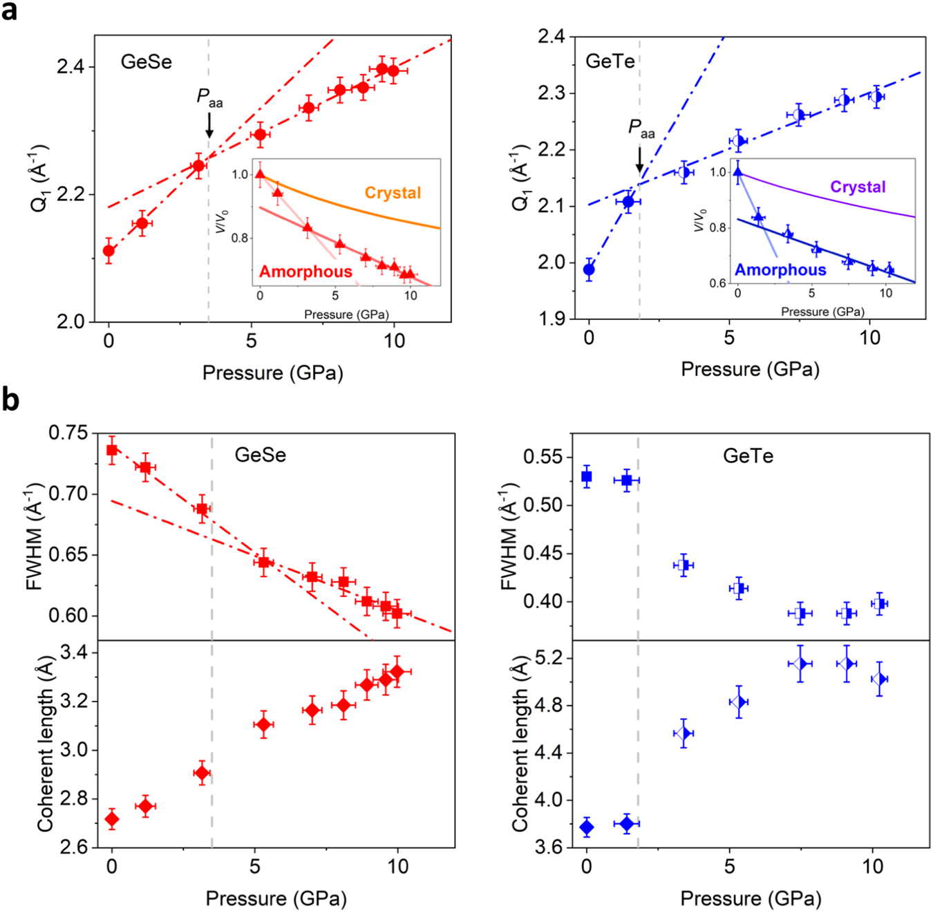
Fig. 4: Pressure dependence of parameters of the first diffraction peak of the total structure factor S(Q) for GeSe (left) and GeTe (right).

a Peak position Q1. The dot-dashed lines show the linear fit for the data points for estimating the polyamorphic transition pressure Paa. The insets show the pressure dependence of volume ratio to ambient condition calculated from Ehrenfest’s relation. The shallower pressure dependence after the polyamorphic transition suggested a significant drop in compressibility (or a rise in the bulk modulus). The orange and purple lines are the volume ratios of the crystalline GeSe and GeTe calculated from the third-order Birch-Murnaghan equation of state with the reported parameters33. b FWHM of the first diffraction peak (top) and the structure coherent length (bottom). The data points of GeTe with half-filled symbols were obtained from the analysis of estimated amorphous contribution (see Supplementary Fig. 2a).