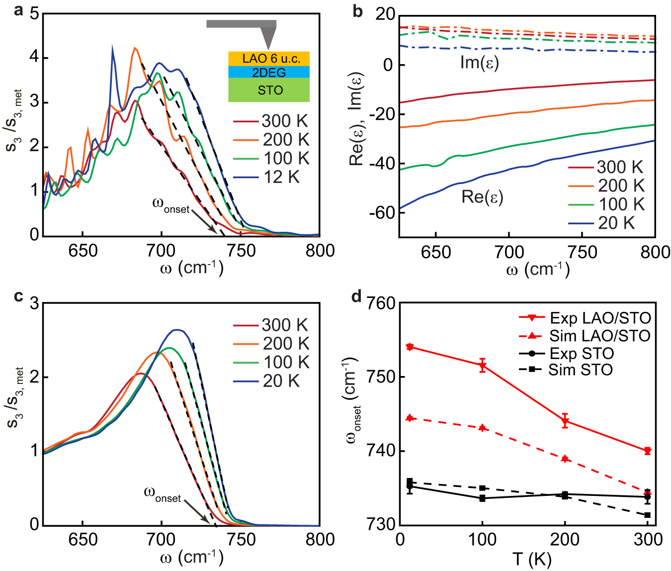
Fig. 3: Temperature dependence of the SPhP band in LaAlO3/ SrTiO3.
From: Thermal and electrostatic tuning of surface phonon-polaritons in LaAlO3/SrTiO3 heterostructures

a Nano-FTIR spectra at 12, 100, 200 and 300 K collected far away from the metal edge. b Permittivity of SrTi0.98Nb0.02O3, at different temperatures29, which are used mimic the permittivity of the 2DEG layer. c Simulated s-SNOM amplitude spectra of the layered system with 2DEG, obtained using the finite-dipole model. Dashed lines in a and c are the linear fits to the high-frequency slope of the SPhP peak used to determine the onset frequency \({\omega }_{{{{{{\rm{onset}}}}}}}\). d The onset frequency as a function of temperature. Black circles and squares are respectively experimental and model values on pristine STO, extracted from Fig. 2d, e. Red downward and upward triangles are the experimental and simulated values obtained on the LAO/STO system. All error bars correspond to the standard deviation.