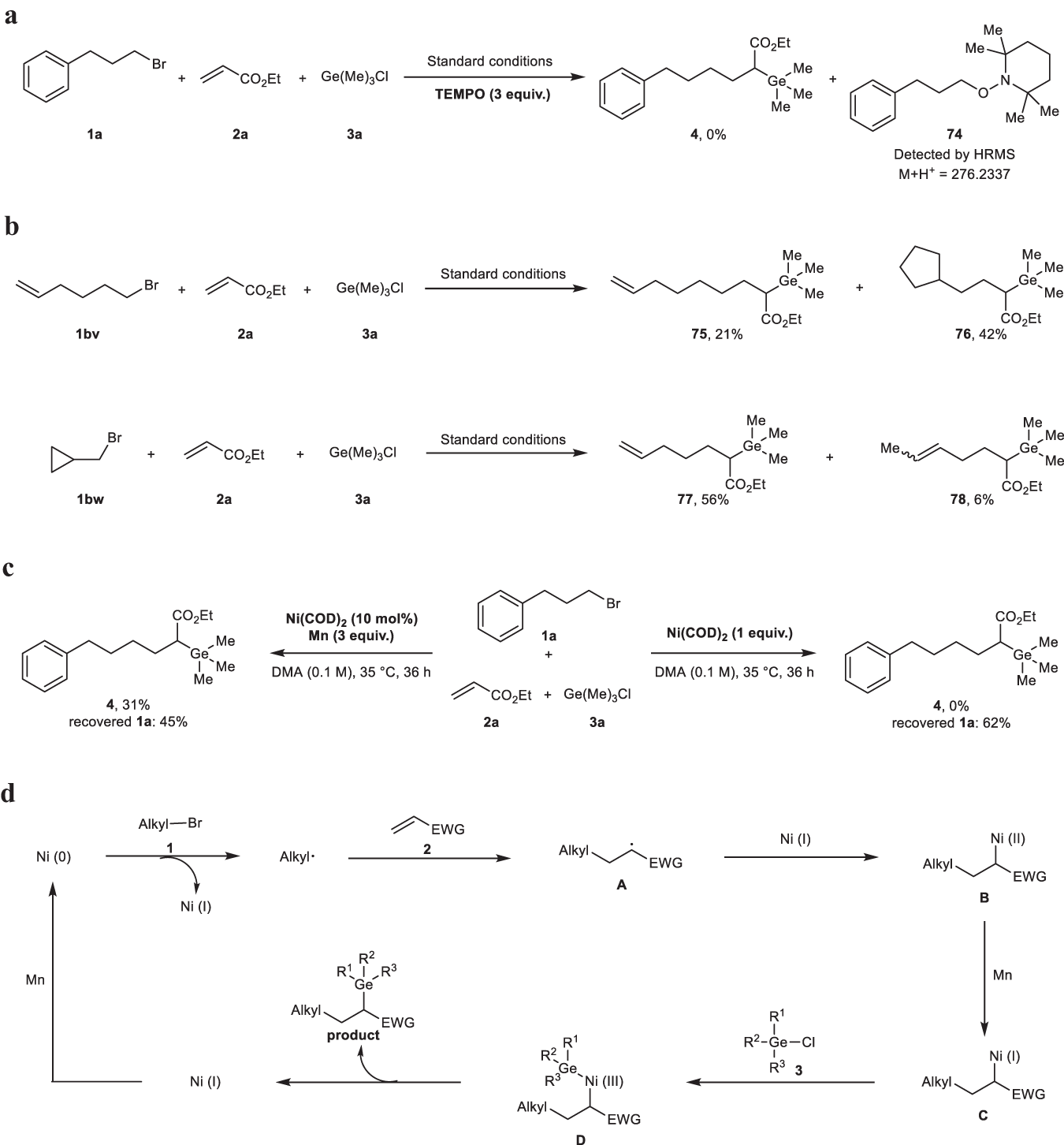
Fig. 6: Mechanism studies.

a radical trapping experiment. b radical-clock experiments. c control experiments. d proposed mechanism. Reaction details were shown in the supplementary notes 3.4 Mechanistic Studies. TEMPO 2,2,6,6-tetramethyl-1-piperidinoxyl, COD 1,5-cyclooctadiene, EWG electron-withdrawing group.