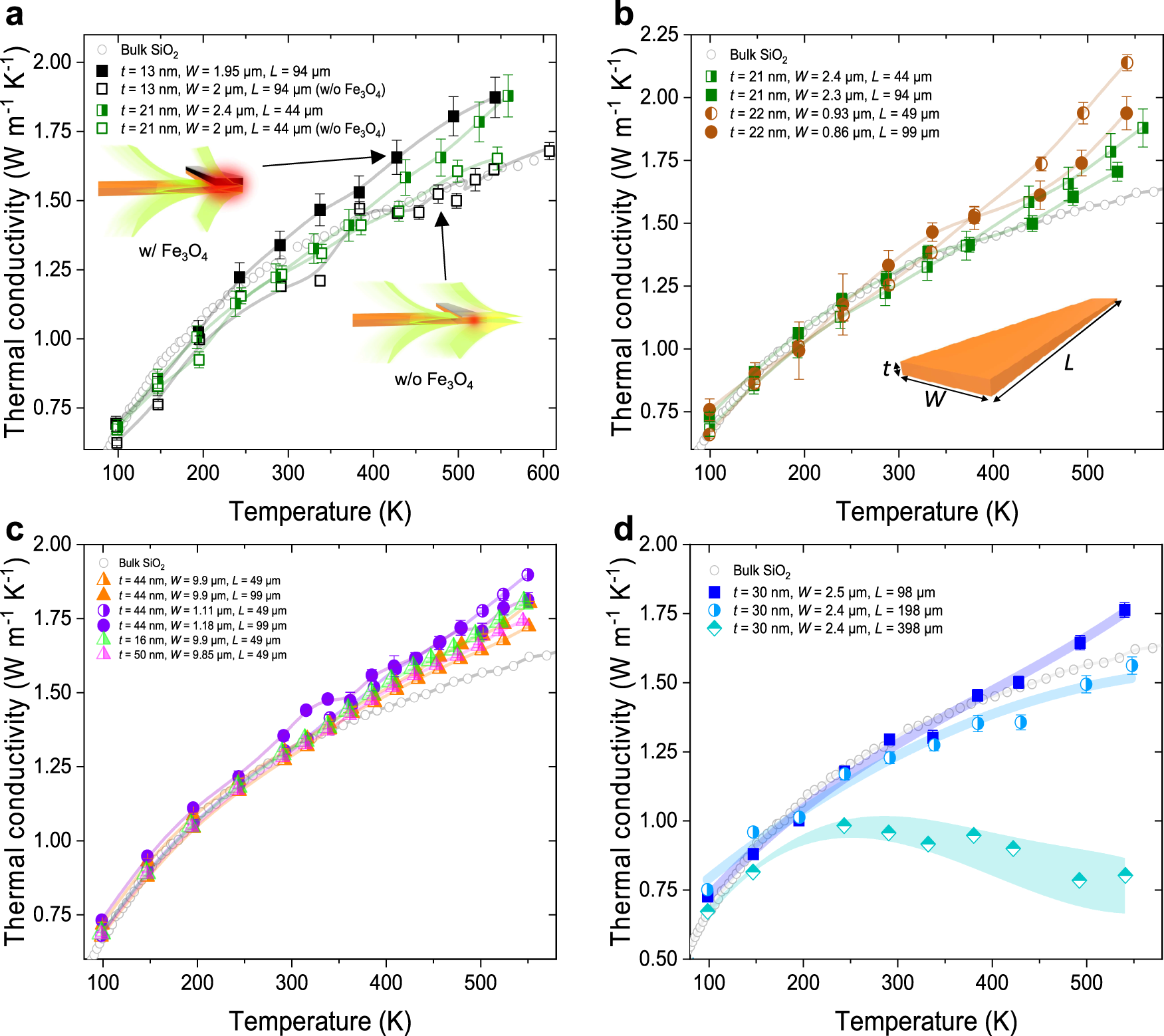
Fig. 2: Measured apparent thermal conductivity of SiO2 NRs with various geometries and with and without absorber designs.
From: Low-dimensional heat conduction in surface phonon polariton waveguide

a Comparison of thermal conductivity of samples with and without the Fe3O4 absorber. b the measured apparent thermal conductivity of NR samples with \(t\) = 21–22 nm. c The measured apparent thermal conductivity of NR samples with \(W\) around 1 and 10 µm. d Apparent thermal conductivity of NR samples with similar width and thickness and different lengths, showing the radiation heat loss on long samples. The empty circles in all the figures are the bulk thermal conductivity value of amorphous SiO2 taken from ref. 20. Error bars in all figures are determined by the standard deviations from the conductance measurements and NR’s dimension determination, following previously published protocols23,32. We Conductance measurement error originates from the linear regression fitting applied to the temperature rise versus power plots (Supplementary Fig. S6). NR dimension determination error arises due to non-uniform width of NRs.