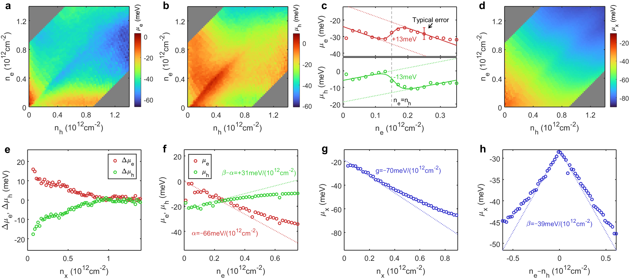
Fig. 3: Chemical potential of the correlated e-h fluids.
From: Thermodynamic behavior of correlated electron-hole fluids in van der Waals heterostructures

a, b Measured chemical potential maps for electrons (a) and holes (b). c Line cut of the electron and hole chemical potentials at fixed hole density\(\,{n}_{{{{{{\rm{h}}}}}}}=0.15\times {10}^{12}\ {{{{{\rm{cm}}}}}}^{-2}\). The experimental data (empty circles) is fitted to a linear background plus a sigmoid function (solid lines). The error bar represents the estimated typical standard deviation (Methods). d Measured exciton chemical potential map \({\mu }_{{{{{{\rm{x}}}}}}}={\mu }_{{{{{{\rm{e}}}}}}}+{\mu }_{{{{{{\rm{h}}}}}}}\). e Chemical potential jump at net charge neutrality for different exciton densities. f Electron chemical potential \({\mu }_{{{{{{\rm{e}}}}}}}\left({n}_{{{{{{\rm{e}}}}}}},{n}_{{{{{{\rm{h}}}}}}}=0\right)\) and hole chemical potential \({\mu }_{{{{{{\rm{h}}}}}}}\left({n}_{{{{{{\rm{e}}}}}}},{n}_{{{{{{\rm{h}}}}}}}=0\right)\) as a function of electron density, keeping the hole density zero. g Exciton chemical potential as a function of exciton density, keeping electron and hole densities equal. h Exciton chemical potential as a function of unpaired charge density \({n}_{{{{{{\rm{e}}}}}}}-{n}_{{{{{{\rm{h}}}}}}}\), keeping exciton density \({n}_{{{{{{\rm{x}}}}}}}=0.05\times {10}^{12}\ {{{{{\rm{cm}}}}}}^{-2}\) constant. Dotted lines in f–h are linear expansions of the experimental data in the low doping region (\(0.05\times {10}^{12}\ {{{{{\rm{cm}}}}}}^{-2}\) to \(0.5\times {10}^{12}\ {{{{{\rm{cm}}}}}}^{-2}\)). Source data are provided as a source data file.