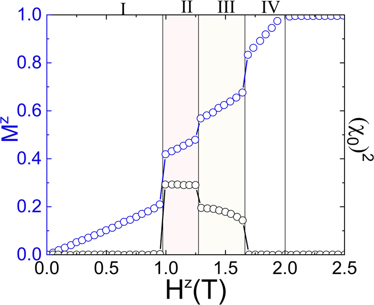
Fig. 7: Simulated magnetization and scalar spin chirality.

The magnetic field-dependence of the calculated uniform magnetisation, Mz, and squared spin scalar chirality, (χ0)2 resulting from the simulations described in the main text. The shaded pink and yellow regions respectively denote the field stability ranges of phases consistent with those of phases II and III observed experimentally.