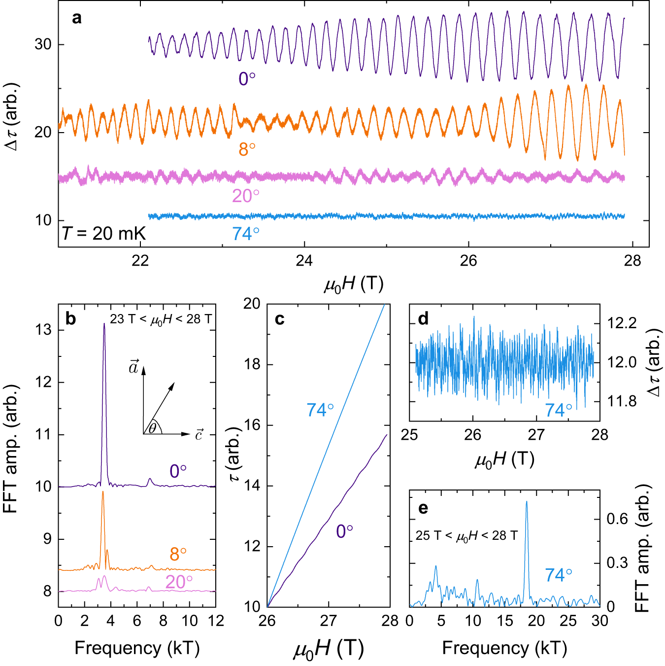
Fig. 2: Angular evolution of quantum oscillatory frequencies and amplitude.
From: Quasi-2D Fermi surface in the anomalous superconductor UTe2

a Oscillatory component of magnetic torque (Δτ) at various angles and b, their corresponding Fourier frequency spectra. Angles were calibrated to within 2∘ of uncertainty. 0∘ corresponds to magnetic field, \(\overrightarrow{H}\), applied along the \(\overrightarrow{c}\) direction; 90∘ corresponds to field applied along the \(\overrightarrow{a}\) direction. At 0∘ a singular frequency peak of high amplitude is observed at f = 3.5 kT (with a second harmonic peak at 2f = 7.0 kT). Upon rotating away from \(\overrightarrow{c}\) towards \(\overrightarrow{a}\) this peak splits and the oscillatory amplitude diminishes markedly. c Raw magnetic torque signal (without background subtraction), τ, at 0∘ and 74∘. Both curves have been translated to have the same value of τ at 26 T for comparison. A clear oscillatory component is visible in the raw torque signal of the 0∘ data. In comparison, despite the 74∘ torque being of greater overall magnitude, it is markedly smoother than that at 0∘. d, Δτ at θ = 74∘ and e, the corresponding fast Fourier transform (FFT). Despite the very small oscillatory amplitude, a sharp high frequency peak of f = 18.5 kT is clearly resolved on top of the background noise profile.