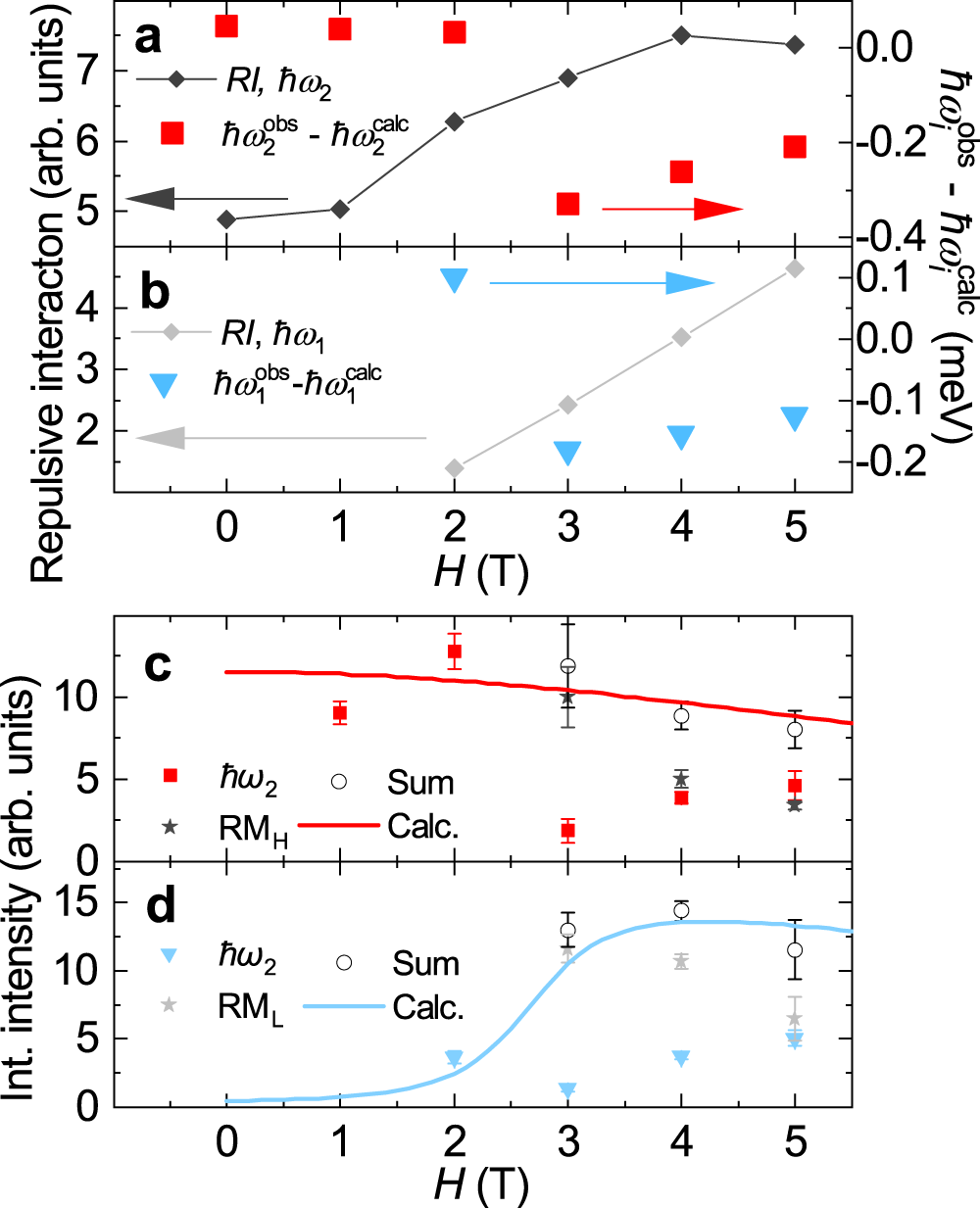
Fig. 4: Magnetic field dependence of repulsive interaction between one-magnon and two-magnon continuum and of integrated intensities for inelastic neutron scattering spectra.
From: Field control of quasiparticle decay in a quantum antiferromagnet

a, b Repulsive interaction (RI) and the deviation of the observed one-magnon energy from the calculated one, \(\hslash {\omega }_{i}^{{{{{{{{\rm{obs}}}}}}}}}-\hslash {\omega }_{i}^{{{{{{{{\rm{calc}}}}}}}}}\). Those for ℏω2 mode are in a and for ℏω1 mode are in (b). c, d Magnetic field dependences of integrated intensities for the one-magnon, the remnant magnon (RMH and RML), the sum of these, and calculated intensity for one-magnon by linear extended spin wave theory. Those for ℏω2 and RMH mode are in (c), and for ℏω1 and RML mode are in (d). Error bars represent fitting uncertainties.