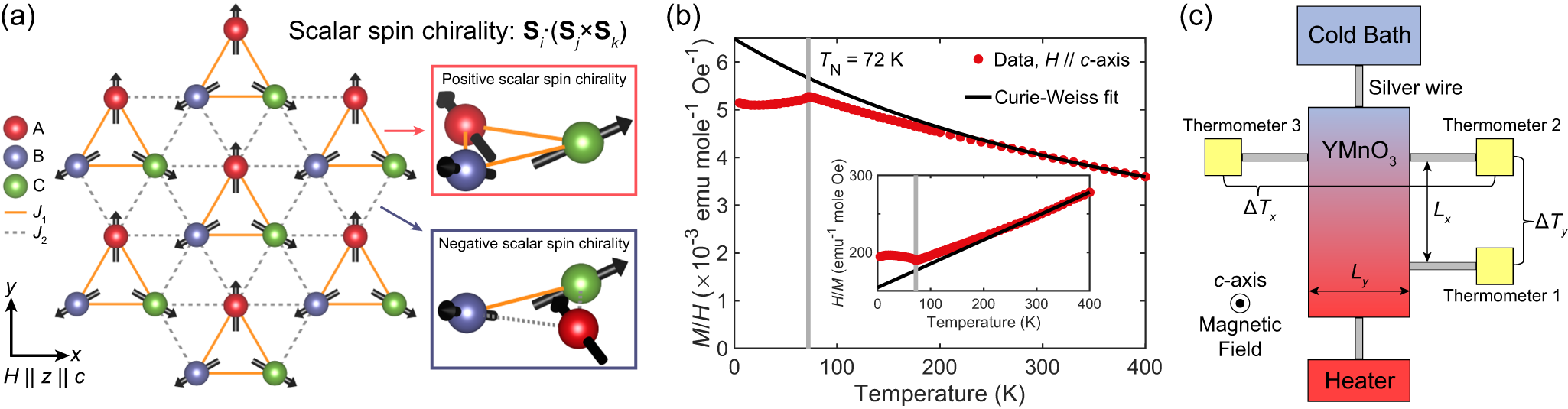
Fig. 1: Lattice structure, magnetization data of YMnO3, and schematic of the thermal transport measurement setup.
From: Thermal Hall effects due to topological spin fluctuations in YMnO3

a Schematic figure of the trimerized triangular lattice with a 120° magnetic structure. The three sites connected by thick orange lines consist of a unit cell. The magnetic field is applied along the \(z\)-direction. The red, blue, and green spheres represent sublattices \(A\), \(B\), and \(C\). The exchange interactions \({J}_{{ij}}\) are \({J}_{1}\) and \({J}_{2}\) on the orange-solid and gray-dotted edges, respectively. The right side of the figure represents the enlarged picture of each triangle which can possess either positive or negative scalar spin chirality defined as \({{{{{{\bf{S}}}}}}}_{i}\cdot ({{{{{{\bf{S}}}}}}}_{j}\times {{{{{{\bf{S}}}}}}}_{k})\) by the spin sites \(i\), \(j\), and \(k\) in a counterclockwise way. b Measured magnetization (\(M\)) data of YMnO3 single crystal sample as a function of the temperature. The magnetic field (\(H\) = 2000 Oe) was applied along the \(c\)-axis of the sample. A sharp peak at 72 K indicates an antiferromagnetic transition. The inset shows \(H/M\) data with the black curves of the Curie–Weiss fitting results. c Schematic of the thermal Hall measurement setup.