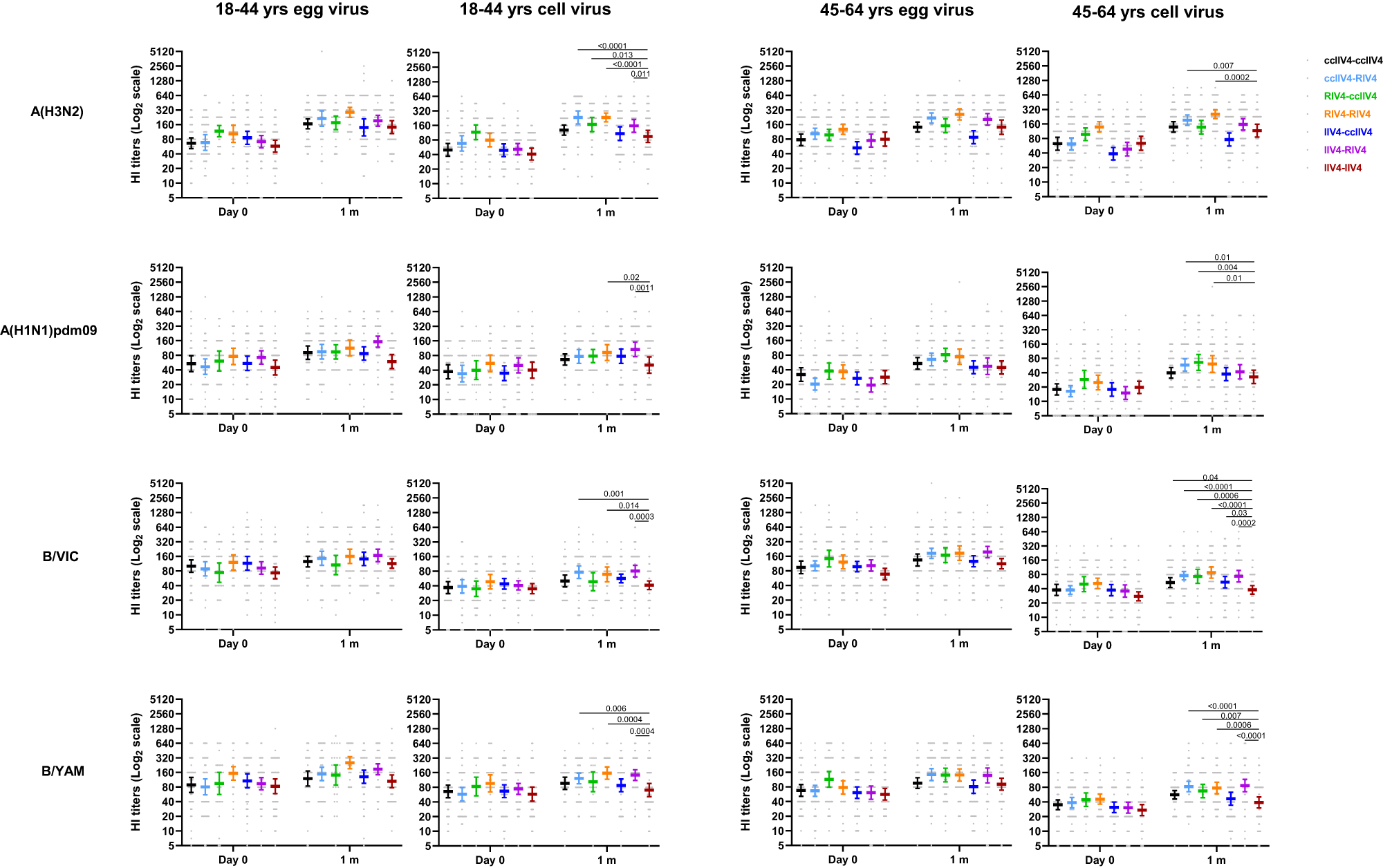
Fig. 6: HI antibody responses to egg- and cell-propagated vaccine viruses at pre- and 1-month post-vaccination in year 2 stratified by 7 repeat vaccination arms.

HI antibody titers from each of the 7 repeat vaccine arms were presented as geometric mean titers (GMTs) with 95% confidence interval (CI) respectively for 18−44 years and 45−64 years age groups. Gray dots represented individual titers. 18−44 years: ccIIV4-ccIIV4 (n = 42), ccIIV4-RIV4 (n = 45), RIV4-ccIIV4 (n = 28), RIV4-RIV4 (n = 30), IIV4-ccIIV4 (n = 49), IIV4-RIV4 (n = 48), IIV4-IIV4 (n = 47). 45−64 years: ccIIV4-ccIIV4 (n = 59), ccIIV4-RIV4 (n = 61), RIV4-ccIIV4 (n = 45), RIV4-RIV4 (n = 44), IIV4-ccIIV4 (n = 57), IIV4-RIV4 (n = 56), IIV4-IIV4 (n = 56). Unpaired t test (two-tailed) was used to compare the post-vaccination GMTs to cell vaccine viruses between IIV4-IIV4 (Fluzone) arm and each of the remaining 6 vaccine arms within the same age group. Statistically significant differences between groups are indicated by p values on the horizontal bars.