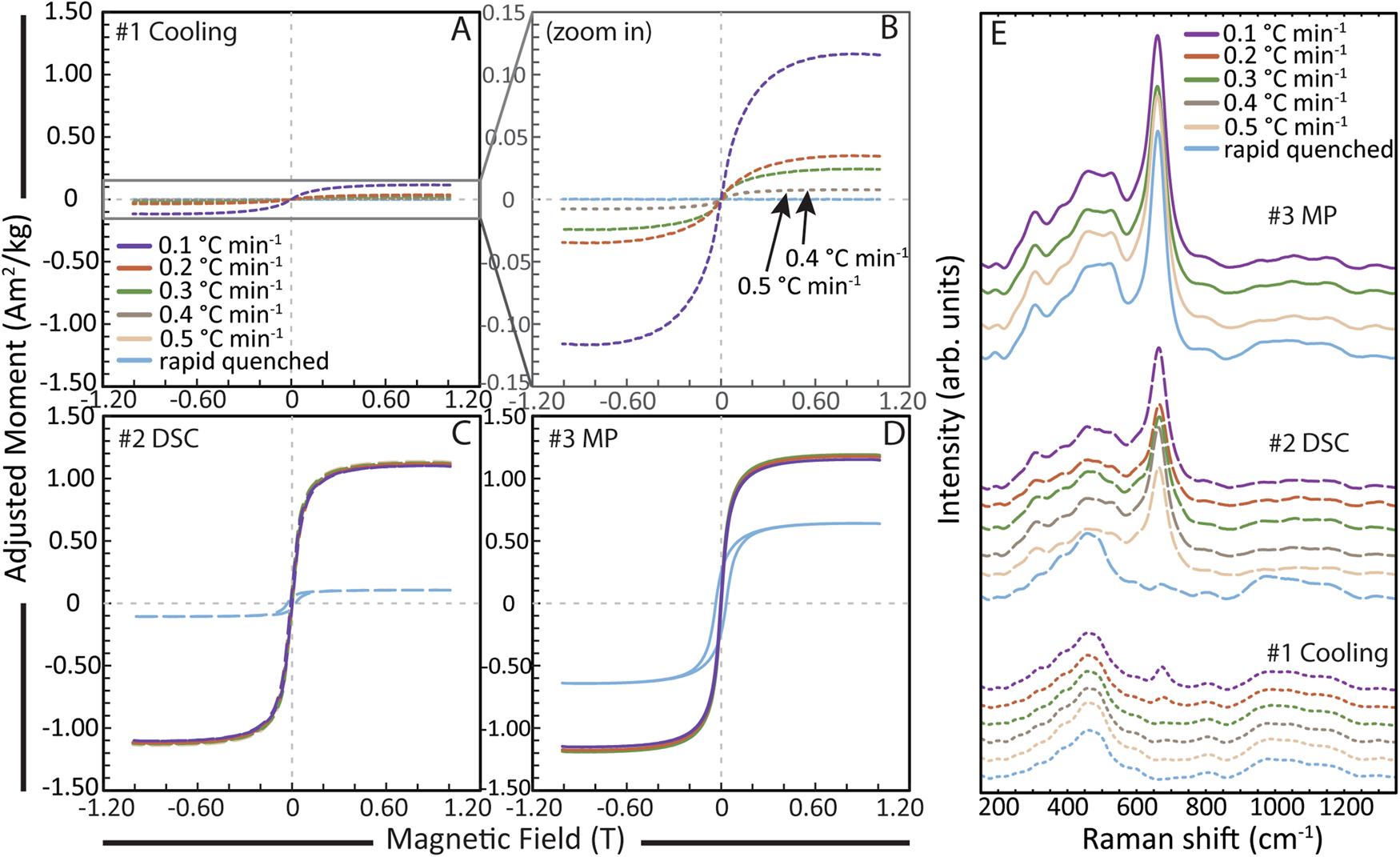
Fig. 1: Magnetic hysteresis loops and Raman spectra.

Hysteresis loops are normalised by sample weight and adjusted for dia-/paramagnetic contributions from: A, B controlled cooling experiments (#1 Cooling) with rates as indicated, C differential scanning calorimetry (#2 DSC), and D micro-penetration (#3 MP) viscosity analyses. E Raman spectra after each analysis. Note that analyses were performed in the same sequence and both magnetisation as well as the 670–690 cm−1 Raman peak are consistently growing, indicating an increase in crystallinity. All individual normalised magnetic hysteresis curves are shown in Fig. S2. arb. units arbitrary units. Source data are provided as a Source Data file.