Fig. 1
From: Income determines the impact of cash transfers on HIV/AIDS: cohort study of 22.7 million Brazilians

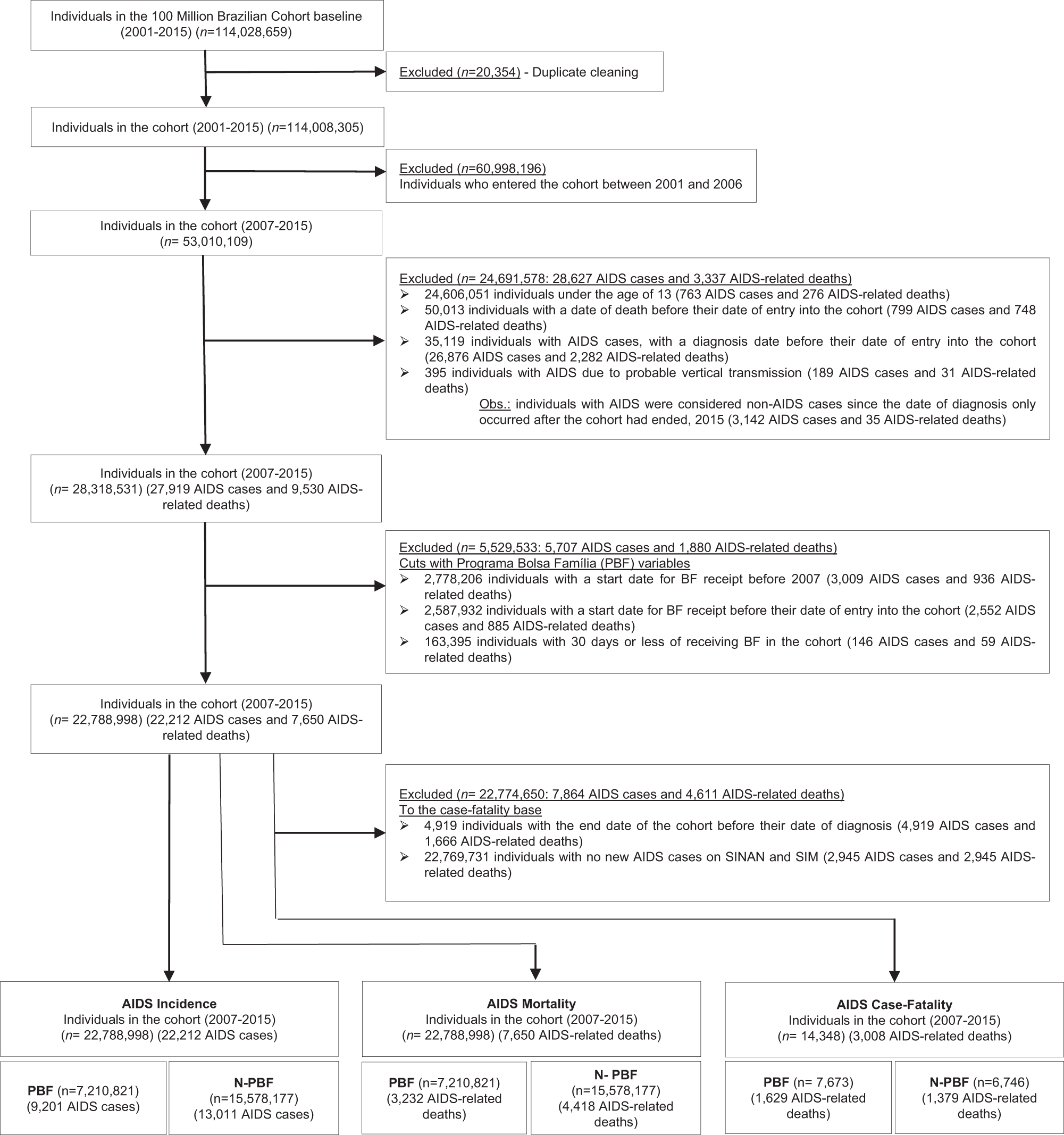
Flowchart of the construction of the study cohort (Brazil, 2007–2015).
From: Income determines the impact of cash transfers on HIV/AIDS: cohort study of 22.7 million Brazilians

Flowchart of the construction of the study cohort (Brazil, 2007–2015).