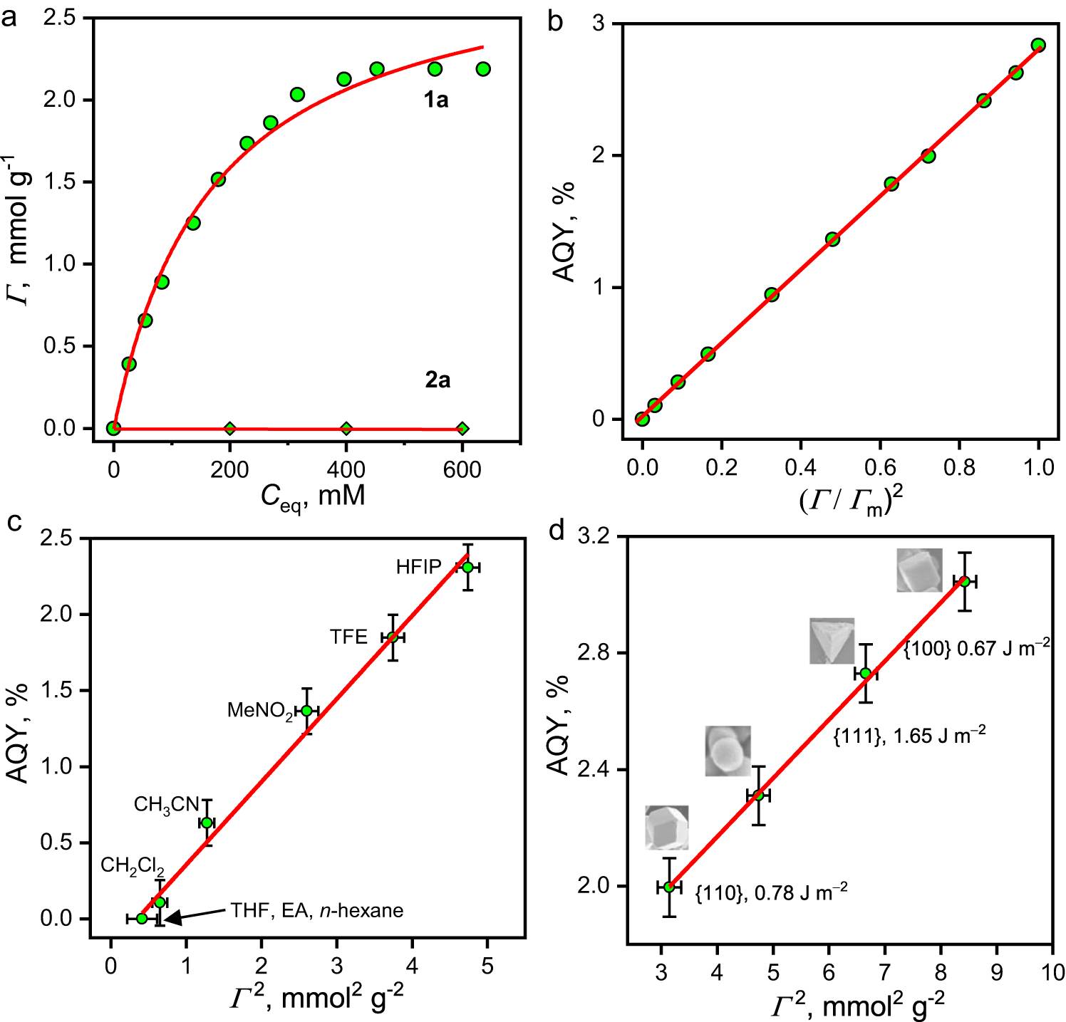
Fig. 7: Dependence of AQY on adsorption.

a The adsorption isotherm of 1a and 2a on spherical Ag3PO4. b–d The AQY values of the 1a → 2a cycloaddition reaction as functions of (Г/Гm)2 or Г2. The scattered points represent the experimental values, and the red lines are the curve fit or linear fits. Abbreviations for panel c: THF tetrahydrofuran, EA ethyl acetate, TFE trifluoroethanol. The SEM images, facets, and surface energies of Ag3PO4 NPs are indicated in panel d. The error bars in panels (c) and(d) associated with AQY represent the standard error of three sets of unique measurements.