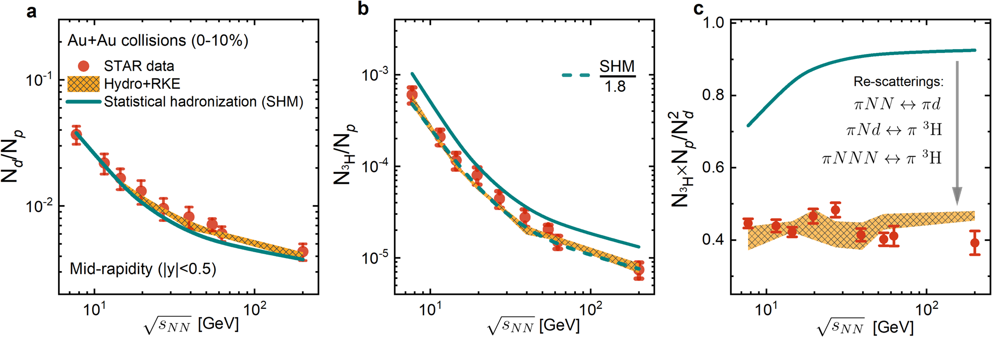
Fig. 3: Deuteron and triton production in Au+Au collisions at RHIC energies.

Collision energy dependence of hadronic re-scattering effects on light nuclei yield ratios Nd/Np (a), \({N}_{{}^{3}{{{{{{{\rm{H}}}}}}}}}\)/Np (b), and \({N}_{{}^{3}{{{{{{{\rm{H}}}}}}}}}\times {N}_{p}/{N}_{d}^{2}\) (c). Theoretical results with and without hadronic dynamics are from Hydro + RKE (shaded bands) and SHM8,16 (lines), respectively. Experimental data points with combined statistical and systematic uncertainties are from the STAR Collaboration16.