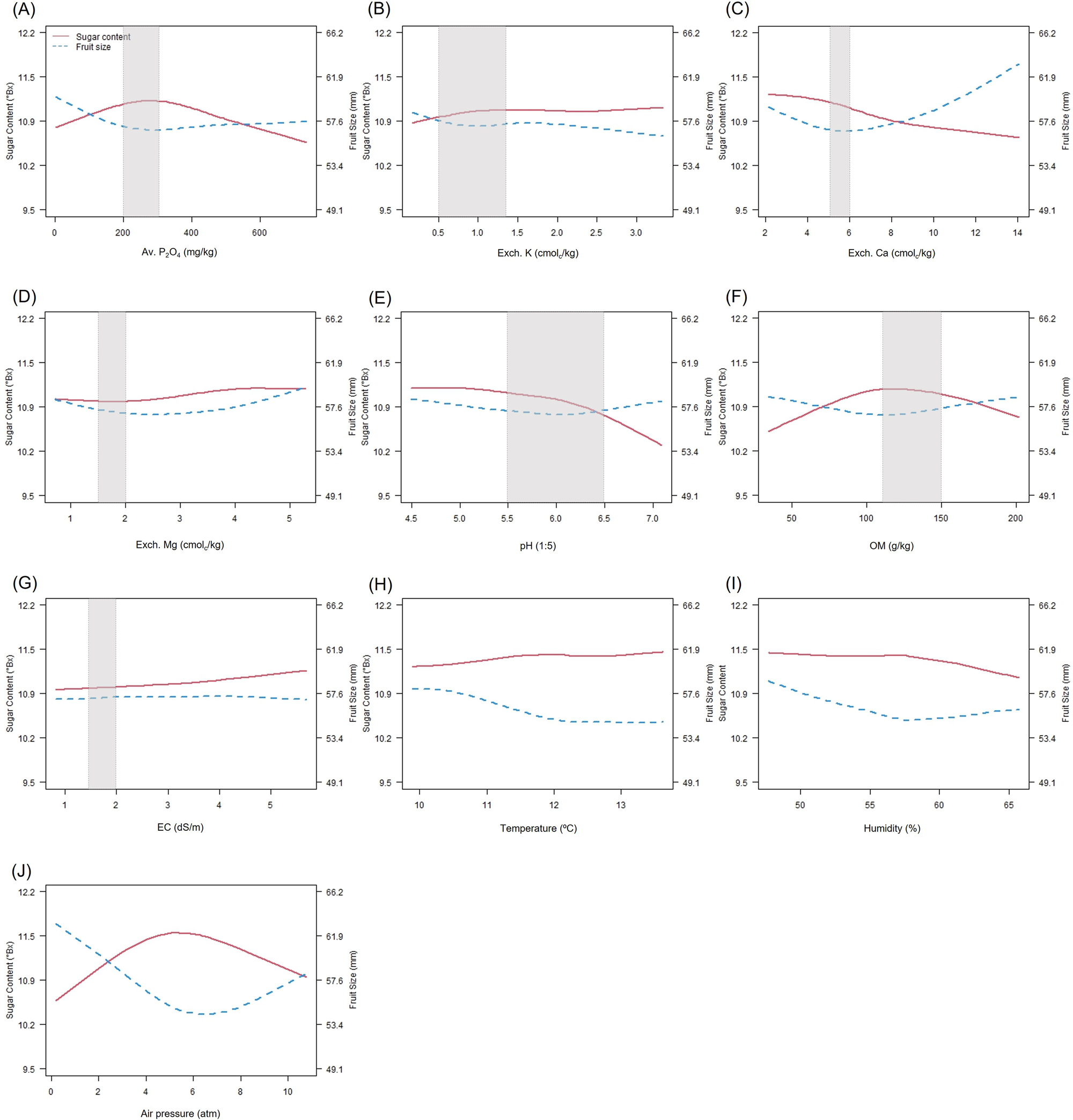
Fig. 4: The average trends of sugar content and fruit size with respect to soil chemical properties and weather-related conditions.
From: An agricultural digital twin for mandarins demonstrates the potential for individualized agriculture

A: available phosphate (Av. P2O4), B: exchangeable potassium (Exch. K), C: exchangeable calcium (Exch. Ca), D: exchangeable magnesium (Exch. Mg), E: soil acidity (pH), F: organic matter (OM), G: electrical conductivity (EC)H: temperature, I: humidity, and J: air pressure. The gray box represents the appropriate range for each component of mandarin orchard soil recommended by the Rural Development Administration. Source data are provided as a Source Data file.