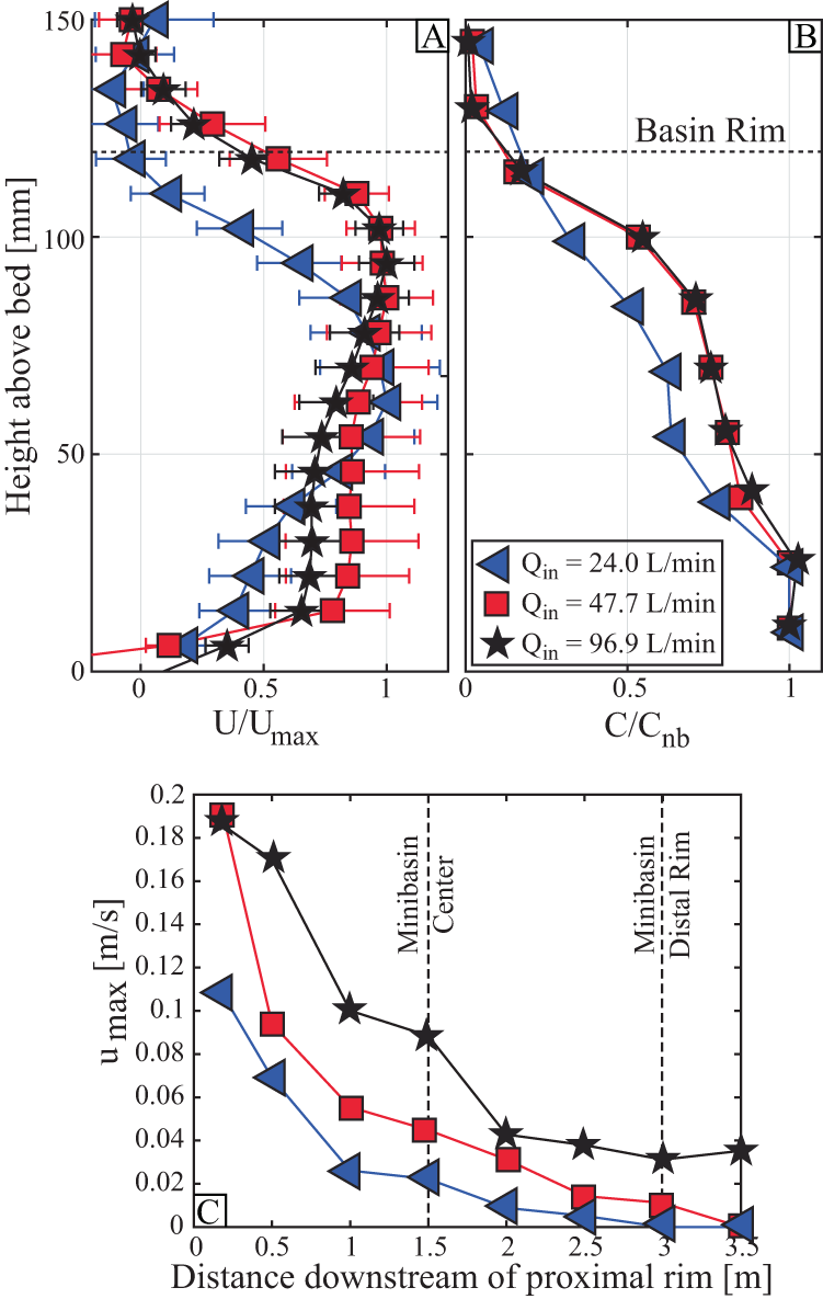
Fig. 2: Fluid and sediment transport fields at minibasin center.

Velocity and concentration measurements at minibasin center and flow evolution along the down basin traverse. A, B Profiles at minibasin center normalized by the maximum velocity in a profile and near bed sediment concentration, respectively. C Measurements of the maximum velocity along the basin bisect line.