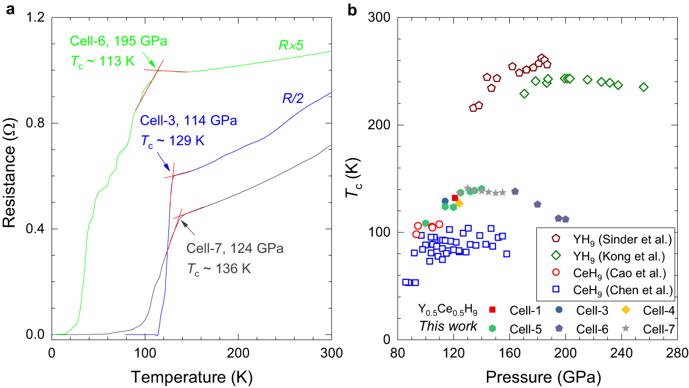
Fig. 2: Temperature-dependent resistance measurements on the synthesized Y0.5Ce0.5 hydrides in the representative cells.
From: Synthesis and superconductivity in yttrium-cerium hydrides at high pressures

a Superconducting transitions at various pressures were indicated by the arrows. b Pressure dependence of Tc for Y0.5Ce0.5H9 with the comparison of YH9 and CeH9 with the same crystal structure in the literature10,12,17,18. The sold symbols with different colours represent the results from six runs in the current work. The open symbols denote the data points for YH9 from the works10,12 and for CeH9 from the works17,18, respectively.