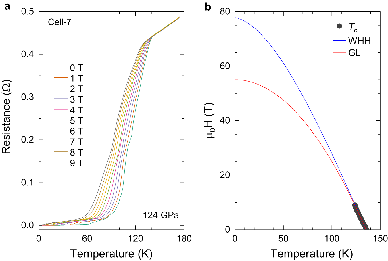
Fig. 3: Electrical transport measurements of the synthesized Y0.5Ce0.5 hydrides at external magnetic fields in Cell-7.
From: Synthesis and superconductivity in yttrium-cerium hydrides at high pressures

a Temperature dependence of the resistance at applied magnetic fields from 0 to 9 T at pressure of around 124 GPa. b Upper critical field Hc2 as a function of temperature, fitted with the GL and WHH model, respectively.